В этом видео я за 5 минут максимально быстро и ёмко расскажу основную информацию про углеводы. Рассмотрены будут следующие вопросы:
1. Что такое углевод...
Мой инстаграм @tamila_sadulaeva
И там тоже много крутой и интересной информации ❤
•В какое время лучше есть углеводы?
•Почему не советуют есть углеводы...
Простые углеводы.Что это такое, как они воздействуют на организм, как они способствуют набору веса, и к чему приводит их злоупотребление.
Это страшно...
Сегодня разберём кто же такие углеводы и стоит ли их боятся?
Как и обычно всё объясняется простым и доступным языком.
Видео про БЕЛКИ:
https://www.yout...
Углеводы - органические вещеста, которые помогают нам быть более энергичными и продуктивными в течение дня. Но если злоупотреблять пищей, содержащий бол...
Весь курс по ссылке-
https://puzzlebrain.ru/course_truth_about_carbs?utm_source=webversion?utm_source=youtube&utm_medium=description&utm_campaign=fst-ls...
#ВладимирПапилов #бодибилдинг #тренировки
УГЛЕВОДЫ КАК КОГДА И СКОЛЬКО
Углеводы — это природные органические соединения, состоящие из молекул углерода ...
⭕️Подпишитесь на канал 360: https://rutube.ru/channel/23501555/
Таинственное исчезновение продуктов из холодильника заставило одну женщину усомниться в...
Углеводная разгрузка/загрузка (углеводы, диета, правильное питание).
Основным топливом для организма во время длительных тренировок и соревнований явля...
В этом выпуске мы поговорим о жирах:
✔ Что такое углеводы?
✔ Зачем нам нужны углеводы?
✔ Что такое гликоген?
✔ Какие бывают углеводы?
Приятного просмо...
00:00:00 Вступление. Эксперт – Тин Ирина Феликсовна, эндокринолог, диетолог, к.м.н., ФГБУН «ФИЦ питания и биотехнологии»
00:00:33 Диетотерапия и питани...
Как выбрать правильные углеводы. Лучшие продукты Wellness!Присоединяйся к нам и будь здоровым. Пиши в https://ok.ru/profile/484040506884
https://vk.com/...
Углеводы, что с ними делать ? | Проблема углеводных продуктов | Лучшие источники сложных углеводов
Подписываемся ?: Инстаграм Алексей Ворон ? https://ww...
В данном видео мы разбираем продукты питания , и выясняем , вред и пользу разных продуктов . Уместно для худеющих .
Многие знают , чтобы похудеть, нужно...
Помогу вернуть и сохранить былую стройность и здоровье без изнуряющих тренировок и диет.
Свяжитесь со мной https://t.me/GalinaMostova
регистрация: htt...
Поговорим про углеводы, что же такое простые или лёгкие углеводы, а что такое сложные. Чем они отличаются, зачем нужны, и почему во всем мире ? идёт при...
В этом выпуске Анна Симбирцева расскажет о новых клинических исследованиях в области питания:
✔ Диета с ферментированными продуктами увеличивает разноо...
Быстрые углеводы легко усваиваются организмом, но при этом дают только непродолжительное чувство насыщения. Но это не означает, что их нужно вовсе исклю...
Что такое углеводы в продуктах питания
Список углеводов в продуктах питания: подробная информация для интересующихся темой. Что такое углеводы, какие б...
Записывайся на консультацию: https://bit.ly/3U88NT7
Подпишись на канал, чтобы узнать все о питании и похудении!
Мой инстаграм: https://www.instagram.co...
Записаться на КОНСУЛЬТАЦИЮ⬇️
https://t.me/andrei25031999
РАЦИОНЫ ДЛЯ ПОХУДЕНИЯ⬇️
https://t.me/poxydenie_bogdanovich/2463
АВТОРСКИЙ ГАЙД ПО ПОХУДЕНИЮ⬇️...
Смотрим всей семьёй. С детьми и родителями. Учимся понимать.
Продолжаем вести дневник питания.
Анализируем его вместе с личным тренером по питанию.
...
Хлебные Единицы - бесплатный калькулятор ХЕ
Значительно облегчает жизнь людей с диабетом, помогая определить точное количество ХЕ в любом продукте!
Ска...
Узнайте всё об обмене веществ и энергии. Получите ответы на вопросы: как организм получает энергию и что такое рацион здорового человека? Опыт: проверяе...
Правило 5 секунд для пробуждения 👇🏻
Когда срабатывает будильник — не даём мозгу времени на «ещё 5 минут».
Сразу начинаем отсчёт: 5-4-3-2-1
→ и встаём....
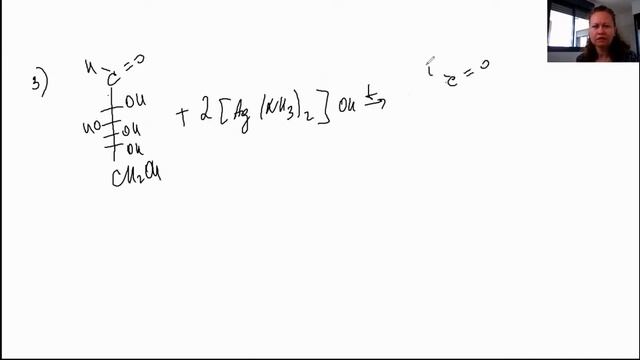
В данном видео рассматриваются особенности строение углеводов. Классификация углеводов: моносахариды, дисахариды, полисахариды.
В какие реакции вступае...
Если хотите постройнеть и узнать все о правильном питании и покупать продукты Велнес со скидкой от -20% и иметь возможность бесплатно получать каждый ...
?СКОЛЬКО УГЛЕВОДОВ ТЕБЕ НУЖНО? ❤️При похудении или массонаборе? ✅Смотри и сохраняй видео!
Подпишись на канал, потому что в следующем ролике я расскажу...
Вы можете поддержать развитие канала, перечислив в благодарность любую сумму по внутреннему чувству:
Сбербанк: 4263 4333 3418 9781 MARTYNOV SERGEY IVA...
Какие продукты нужно есть чтобы получить правильные полезные углеводы и сколько. ПОДПИШИСЬ И СТАНЬ УЧАСТНИКОМ ОН-ЛАЙН ШКОЛЫ ЗДОРОВОГО ПИТАНИЯ БЕСПЛАТНО ...
Вся правда об углеводах: Питаемся правильно!
Худеющий народ углеводы не жалует. И аргументов «против» ― более чем достаточно: от них повышается сахар, п...
Как правильно составить рацион питания - https://kurs-segodnya.ru/998795
Как нормализовать вес, полюбить свое тело и почувствовать уверенность в себе ...
Часто можно услышать, что потребления углеводов нужно сокращать. Но они просто необходимы нашему организму!
А чтобы узнать еще больше о здоровом образ...
Все ли мы знаем об углеводах? Что такое углеводы? В каком количестве нам нужны углеводы? Задумываемся ли мы об этом? Знаем ли мы что едим на самом деле?...
Сегодня мы с врачом диетологом разберем достаточно обширную тему как углеводы. Разберёмся что такое углеводы и какие типы их существуют. И раскроем скол...
Почему стоит ограничить легкоусвояемые углеводы особенно после 25 лет?
Без достаточной физической нагрузки эти углеводы очень быстро трансформируются в...
Друзья, всем привет, это топ 3 продукта с высоким содержанием углеводов для быстрого массонабора. Всем приятного просмотра.
===========================...
Эксперт – Чехонина Юлия Геннадьевна, кандидат медицинских наук, старший научный сотрудник отделения профилактической и реабилитационной диетологии ФГБУН...
🧬 **Углеводы: от простых сахаров до сложных полимеров**
**Что узнаете:**
* Строение и состав углеводов
* Различия между простыми и сложными углеводами
...
3 продукта с самыми полезными углеводами
? Подпишись на Доктор 24 ? https://rutube.ru/channel/25031369/
Углеводы – какие из них откладываются в жиры, а...
Быстрые углеводы
Быстрые углеводы: подробная информация о простых, легких, быстроусвояемых углеводах. Разница между сложными и простыми углеводами. Рей...
Углеводные продукты — это не только хлеб, макароны и картофель.
Существенное количество углеводов входит в состав фруктов, овощей и даже орехов.
При э...
Углеводы.Что нужно знать о влиянии углеводов на организм человека
как быстро похудеть,как похудеть,раздельное питание,схема,питания,рациональное питание...
Хлебные Единицы - бесплатный калькулятор ХЕ
Значительно облегчает жизнь людей с диабетом, помогая определить точное количество ХЕ в любом продукте!
Ска...
https://happy-buy.ru/7wwJR.php - заказать на Aлиэкспресс
(Ролик для похудения лица с внутренними шариками, массажер для потери веса, устройство для моде...
Углеводы — это ключевой компонент большинства продуктов питания и основной источник энергии для людей. В зависимости от количества структурных единиц уг...
Тренируйся с нами https://clck.ru/33Qzgr ! Промокод на скидку 70 % : superstar
Вас ждет более 1600 видеотренировок от лучших тренеров - просто включай ...
Почему все столько говорят про «белки, жиры, углеводы»? Углеводы - простые и сложные.
Углеводы – основной источник энергии в организме человека. Углевод...
Константин Монастырский
Что такое углеводы? Откуда берутся углеводы?
Сколько нужно углеводов нашему организму?
http://homebiznes.com
Диабет
Сердечно -со...
#modeling #blog #modelblogerElize
Всем привет! Меня зовут Лиза, мне 18 лет, я учусь в Вене. Тема сегодняшнего видео: Белки, жиры и углеводы???
Желаю в...
Углеводы занимают почетное 3 место среди белков, жиров и углеводов. В видео разложил все по полочкам, что это углеводы и что нужно знать о них в питании...
В этом видео я коротко и понять расскажу об углеводах, что это такое, где содержатся, и сколько же их есть!!!
Приятного Просмотра!!
Соц. Сети:
VK:https:...
https://happy-buy.ru/7wwJR.php - заказать на алиэкспресс
(Ролик для похудения лица с внутренними шариками, массажер для потери веса, устройство для моде...
В этом видео я подробно расскажу о том, что такое углеводы и для чего они нужны нашему организму. Ты узнаешь, что такое простые и сложные углеводы, быст...
Ссылки на мой инстаграм:
https://www.instagram.com/anastasija.sokol/
https://www.instagram.com/anastasiya__sokol/
В сегодняшнем видео мы говорим не про...
Тайм-коды:
1) 00:00 Почему сложные углеводы важны?
2) 1:54 Контроль голода-сытости и углеводы;
3) 3:16 Регуляция настроения и углеводы;
4) 5:03 Нижняя п...
В этом видео я рассказываю о том, что такое углеводы, в каких продуктах они содержаться, какие их виды могут быть, какие углеводы являются вредными, а к...