прогнозы на футбол сегодня, прогноз на футбол, прогноз сегодня, прогноз, прогнозы, прогноз на сегодня, ставки на футбол, ставки на спорт, прогнозы на сп...
Летний Кубок Энергетика 2020 среди команд 2012 г.р.
15 августа. г. Прохладный. Стадион СДЮСШОР по футболу
Группа Б. 2 тур. Энергетик-2 #Прохладный - На...
Форма «Барселоны» – https://t.me/BarcaFamilyShop
Форма других клубов – https://t.me/FootballFamilyShop
«Барселона» разгромила «Реал Сосьедад» со счетом...
Эксперт «Рейтинга Букмекеров» Андрей Юртаев дал прогноз на 1-й матч 2-го раунда Кубка Гагарина Локомотив - Авангард.
В этом видео:
Прогноз от Юртаева
...
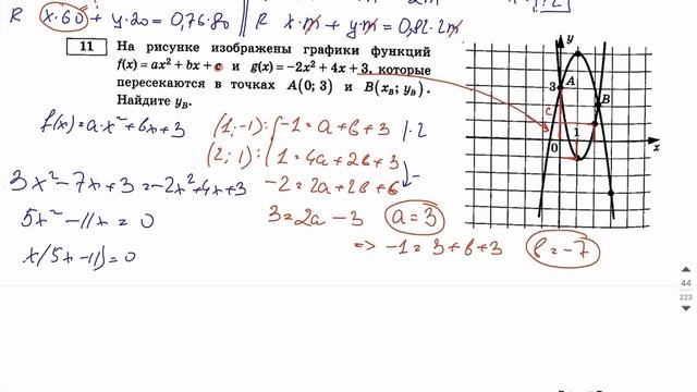
В этом видео мы начинаем наш увлекательный путь в мир математики с первого урока 5 класса! Сегодня мы разберем основные понятия, такие как натуральные ч...