В рамках недели русского языка,в нашем классе прошло внеклассное мероприятие " Знатоки русского языка".Ребята отвечали на вопросы,работали в командах,со...
Литературные Понедельники у Арса-Пегаса: 14 лет буйства современной поэзии и музыки. Свыше 375 вечеров в центре столицы. Тысячи поэтов, музыкантов и арт...
Жақсы дәйексөз қарапайым сөйлемде немесе мәлімдемеде өмірлік тәжірибені ұсына алады. Бұл басқаларға таяқша сияқты берілетін кедергілер мен сәтсіздіктерд...
24 мая 1940 года родился русский и американский поэт, эссеист, драматург, переводчик, лауреат Нобелевской премии по литературе 1987 года, поэт-лауреа...
С НОВЫМ 2023 ГОДОМ!!!
Краткое описание поезда:
Серия: 113
Номер: 7758
Дата постройки: 01.1980
Количество вагонов: 10
Депо: Киото
О станции-вокзале К...
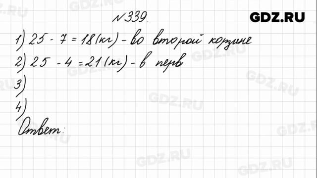
Видео решение к номеру 339 по математике за 4 класс часть 1, авторов М.И. Моро, М.А. Бантова, Г.В. Бельтюкова
Более подробное гдз к этому заданию можно ...
ДАВАЙТЕ УВАЖАТЬ ДРУГ ДРУГА и не МАТЕРИТЬСЯ !
Группа в вк - https://vk.com/club119225018
мой первый канал - https://www.youtube.com/channel/UCRLB2rUHxiy...