👉 https://t.me/SocroboticStoreBot?start=MtDQLB8hFxDZsi8k - магазин трастовых аккаунтов ФБ🤫 в телеграм
✅ Сайт, на котором можно приобрести аккаунты: htt...
Привет, дружище!
Однородные подлежащие – это два и более главных члена предложения, которые обозначают предметы или лица, отвечают на один и тот же вопр...
Music:
Celestial_Grounds_-_Falling_More_In_Love
jamendo.com
Connect with me
My Fashion Blog:
http://allmybeauty.ru/
vk.com:
http://vk.com/public45002336...
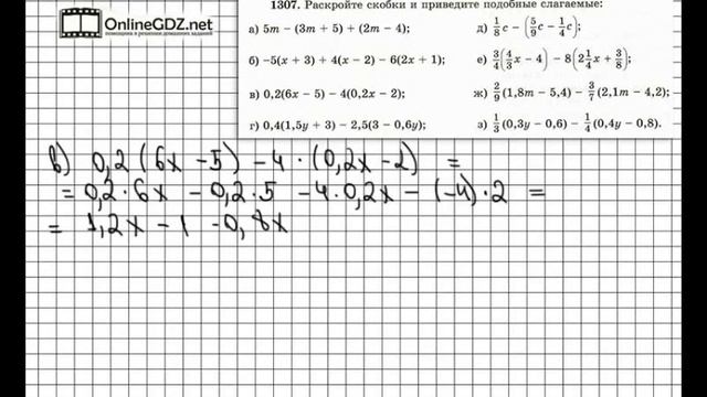
Другие решения смотри тут: https://urokitv.net/34-matematika-6-klass-vilenkin-zhohov-chesnokov
Urokitv.net это школьные учебники и решебники с 1-го по ...
💙💙💙канал мого брата https://www.youtube.com/channel/UCz-9L7fAaXypIA6uwLhVm9w
💛💛💛мій другий каналhttps://www.youtube.com/channel/UCgnRSioak11E90uAbzm4...
ОБЪЯВЛЕНИЯ НА ВОКЗАЛАХ ГЕРМАНИИ С ПЕРЕВОДОМ: https://www.youtube.com/playlist?list=PLoxHai0Zm_cIYm5izOPF-TS1MX9np4IH0
Тема "Железные дороги. Поезда. Во...
Разбор слова амфибия
Анализ и разбор слова «Амфибия» - морфологический разбор и склонение слова, подбор синонимов и антонимов, перевод, построение отно...
донат:https://www.donationalerts.com/r/ppp000ppp
ip сервера:178.63.45.3:25654
донат привелегии:https://flexetxbuydon.trademc.org/
(если не выдался автом...
- Ежедневный отчет по торговле здесь (бесплатно):
https://goo.gl/Ji1hrH
- Сделки в онлайн режиме здесь: (доступ 1000 руб. / мес.)
https://goo.gl/FWhW...
Что сказать и как сказать?
Я преподаю сценическую речь уже почти 20 лет, все эти годы адаптирую методику для людей самых разных профессий, ведь красивы...