This video clip will show you How to Learn Multiplication table for 1 and 2 in English and Hindi . #learning How to Learn Table. Complete table learning...
Вот они, закрома родины…
Не будем никого осуждать.
Правда, давайте, будем добрее…
И, тем не менее, мне надо всё это разобрать.
…и Фея, вооружившись хоро...
Welcome To Skin For The Win! Will Ninja Defeat EVERY Skin In Fortnite? Let's See!!
Hi I'm FruitSnacksS! Welcome to the FRUITSNACKSGanG!
Thanks for watc...
In this video tutorial you can easily learn about #How_to_solve #Snake_Cube with the help of Sort & Simple Moves. You can also solve Snake Cube with man...
Можно заказать музыку в начало или на паузы следующего стрима от 100р.(Желательно без авторских прав). А также продление стрима на час от 500р.
Правил...
Vida virtual se aproximando cada vez mais da ralidade!
Se gostou dê aquele "joinha" e se inscreva no canal!
Facebook: https://www.facebook.com/oficialch...
EXCEL ABS FUNCTION
In Microsoft Excel, the ABS function is used to return the absolute value of a number. The absolute value is the distance of a numbe...
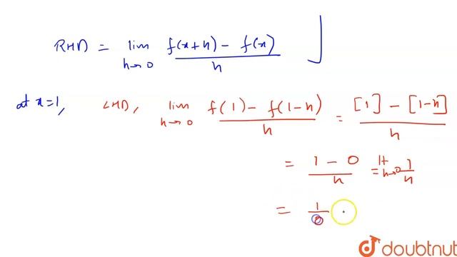
Prove that the greatest integer function defined by f(x) = [x], 0 lt x lt 3 is not differentiable at x = 1 and x = 2.
Class: 12
Subject: MATHS
Chapter: ...