Канал: Математический анализ: Гибкий и гибкий 28.01.2025
Free Mastering AMC 10/12 book: https://www.omegalearn.org/mastering-amc1012. The book includes video lectures for every chapter, formulas for every topi...
Канал: Математический анализ: Гибкий и гибкий 26.01.2025
Мій досвід по очищенню металевих деталей від іржі та корозії, на прикладі шин та ланцюгів до старовинних бензопил. Також випробовую експериментальний за...
Канал: Математический анализ: Гибкий и гибкий 26.01.2025
Υπηρεσιακή στολή υποδείγματος ACU 2.0 της Pentagon = 74€
Νέα έκδοση της στολής μάχης με νέες προσαρμογές και δυνατότητες αλλά και εκπληκτική εφαρμογή.
...
Канал: Математический анализ: Гибкий и гибкий 26.01.2025
Ten przepis ma 100 lat, nauczyła babcia. Przepis na pyszny domowy chleb żytni w piekarniku! Szybko i smacznie. NIE UWIERZYSZ, JAK TO SIĘ ZROBIONE SZYBKO...
Канал: Математический анализ: Гибкий и гибкий 26.01.2025
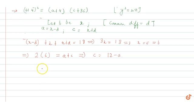
This is the Solution of Question From RD SHARMA book of CLASS 11 CHAPTER SEQUENCES AND SERIES This Question is also available in R S AGGARWAL book of CL...
Канал: Математический анализ: Гибкий и гибкий 26.01.2025
When n number of particles of masses m, 2m, 3m, …….. nm are at distances x_(1)=1, x_(2)=4, x_(3)=9, ………x_(n)=n^(2) units respectively from origin on the...
Канал: Математический анализ: Гибкий и гибкий 26.01.2025
Hi 👋 sorry about not uploading often 😭 i have no motivation lol
Characters used:
Vanny
Vanessa
(Characters created by Scott Cawthon)
Time taken:
1 we...
Канал: Математический анализ: Гибкий и гибкий 26.01.2025
Как экскурсии помогают подружиться с городом, как йога голоса раскрывает творческие способности и куда пойти в Копенгагене в декабре.
Инстаграм Светланы...