Weniger Verluste durch größeren Querschnitte in den Leitungen.
NYM 3 15 günstig in verschieden Längen https://amzn.to/3tbLcR5
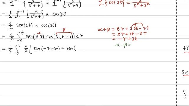
Elektrotechnik verstehen i...
All inclusive four-star resort with 268 rooms. Located in Cayo Guillermo on one of the most beautiful beaches in the Jardines del Rey archipelago, very ...
Смешная подборка с котами, собаками и другими животными.
Уютно и по домашнему, включай и наслаждайся,
P.S. береги соседей, сильно громко не смеяться))
...
Разъяснения по ОГЭ, ГИА, ФГОС, диагноз ОВЗ. 2023. Встреча с Надеждой продолжение. Прошу максимально распространить! Воссоединяемся на своей земле! /// ...
Today, believe it or not, Geometry Dash 2.2 came out, and yes, this is real!!!!!! Here, I played my first ever Geometry Dash 2.2 level for this video, a...
The complete Funny Car Night Qualifying Session Q2 of the 14th Annual 2024 NHRA Four-Wide Nationals at zMAX Dragway in Concord, North Carolina.
“The Be...
IP:play.rwpe.ru
Порт:19132
Мини-игра CAKEWARS
======================================
Егер видео ұнаса,лайк бас || Если видео понравился,поставь лайк👍...
Hi whatsapp guys divio kali ini saya akan melakukan Review Hub Gigabit Dari Tplink Edision Black and 5 Port RJ45, jika ada salah kata saya mohon maaf an...