In questo video viene risolto un altro problema tratto dal testo degli autori Mazzoldi-Nigro-Voci riguardante il secondo teorema di Koenig.
http://www.i...
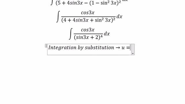
#m4thlab #KupasTuntasIntegral
Kupas tuntas materi integral part 5.
Pada video ini kami bahas materi penerapan integral, yaitu cara menentukan volume ben...
Какой? Сейчас расскажем! 🤗
🎁 Замечательный набор знаний, умений, положительных эмоций, ощущения "Я могу", сэкономленного времени и родительских (не тол...
Описание
-------------------------------------------------------------------
Я скачал взломанную geometry dash с новым режимом. Он очень интересный, при...
Hyper Dream - Serponge (3 Coins)
https://everyplay.com/videos/21565680
Video recorded with Everyplay. Download Geometry Dash on the App Store: https://i...
Geometrydash and Gegagedigedagedago and Digital circus Portal Upgrade
#shorts #minecraft #minecraftshorts #meme #gegagedigedagedago #memes #nikocadoavac...
Model : 1/12 Scale Lancia Delta HF Integrale Evo '92 Monte Carlo Rally Winner #4 D.Auriol
Kit Manufacturer : Model Factory Hiro
I'm an amateur modeler ...