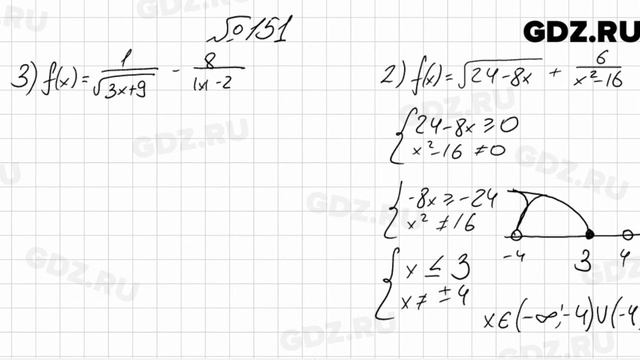
Видео решение к номеру 151 по алгебре за 9 класс, авторов А.Г. Мерзляк, В.Б. Полонский, М.С. Якир
Более подробное гдз к этому заданию можно найти здесь...
Mulțumim mult că ne susții!
🔺Dorești să studiezi matematica la MATEMATICA.MD?
Scrie-ne un mesaj!
Messenger: m.me/examen.md
Completează formular: https:/...
Get your SportzCases here! - https://bit.ly/3JGhOue
Promo Code for 10% off: ZHighlights
If you enjoyed this video, please consider supporting my chann...
Старт продаж на 2021 год!
Мечтаете построить дом в следующем году по стоимости 2020?
Осуществите свою мечту уже сегодня!
Выбирайте любой проект дома и ...
Простые способы для увеличения клиентов, узнаваемости и денег для таролога, астролога или энергопрактика!
Это видео - один из моих уроков интенсива по с...
#Ethtrade Мы меняем мир к лучшему!
#Ethtrade – Надёжные инвестиции в криптовалюту!
Подробная информация и бесплатная регистрация https://ethtrade.org/a...
Минск Метро Вокзальная Зеленолужская линия новая ветка метрополитена
ПОСМОТРИТЕ ТАКЖЕ:
Новая Зеленолужская ветка метро в Минске переход с Автозаводской...
Куба- одно из популярнейших мест среди туристов. Но а как я провёл эти 2 недели, я записал на фотик. Не забывай подписываться на канал и ставить лайки!
6-sinf Matematika
48-dars
Mavzu: "Uchburchak, uning perimetrlariga doir masalalar yechish".
Telegram kanalimiz:
https://t.me/matematikavideolar
https:...
🌟 С чего начать учить английский самостоятельно
#английскийязыкдляначинающихснуля, #английскийслованакаждыйдень, #онлайнанглийский, #английскийурокидля...
#matematika #kurikulummerdeka #matematika4SD
Materi ini BAB 15 PENYUSUNAN DATA sesuai buku pada Kurikulum Merdeka untuk siswa Kelas 4 SD
Penyusunan Tab...