Добрый день
На этом канале вы найдёте множество решений различных примеров из курса алгебры и геометрии
Видео выходят каждый день
Подпишись и не пропуск...
5.5 - Proportional and Nonproportional Relationships (Pre-Algebra)
All written notes and voices are that of Mr. Matt Richards.
Sources of examples/ill...
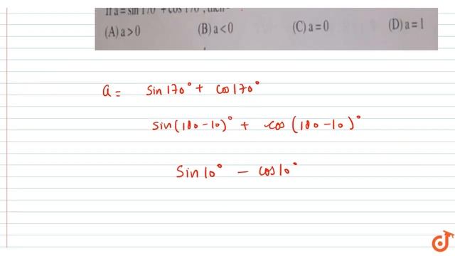
Please watch: "IBPS PO 2024 1000🔥 Arithmetic Questions Series by Amar Sir"
https://www.youtube.com/watch?v=namjeIJYFm0 --~--
In this YouTube short, Ama...
🧬🌌 Welcome back to Part 3 of our captivating YouTube series: "What Is The 4th Dimension?" In this episode, we dive deeper into the scientific aspect of ...