Докладчик: Чечкин Григорий Александрович, д.ф.-м.н., профессор кафедры дифференциальных уравнений Механико-математического факультета МГУ им. М.В. Ломон...
Коновалов Владимир Васильевич. Трансформация основ теории относительности в механику Ньютона
29 июля 2020 года
Конгресс "Фундаментальные проблемы естест...
Математика 2 клас Скворцова С.( с. 132)
https://vsimpptx.com/category/nova-ukrayinska-shkola-2-klas
https://learningapps.org/display?v=p1yyxv79t20 і...
It's finally out, great job to all the creators! :)
───────────────────────────────────
-Discord Server:
https://discord.gg/ukDSV6v
-Twitter:
https://t...
Мой первый Летсплей. Много ляпов, поэтому жду конструктивную критику, советы и т.д.
Моя партнерская программа VSP Group. Подключайся! https://youpartne...
Enlaces de descargas
Android
http://www.mediafire.com/file/vfye81jslxdsiqx/GDCPS_Installer.apk
PC
http://www.mediafire.com/file/92tfyat1hz4j1ps/GDPS_...
Дорогие родители! Будущее ваших детей в ваших руках, доверьтесь нам и мы вместе повлияем на судьбу вашего ребёнка.
Позвони нам сейчас +7 708 271 828...
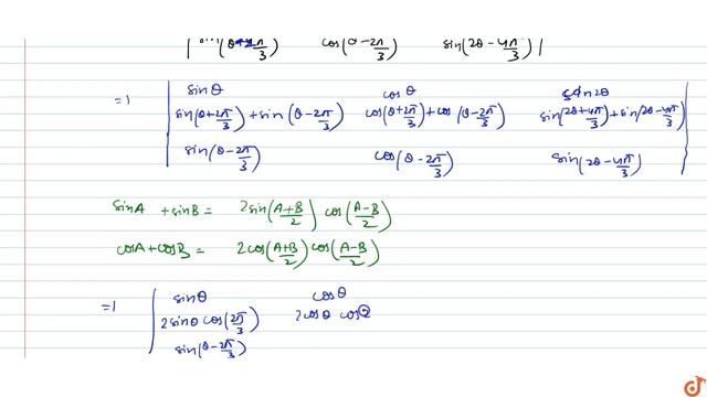
To ask Unlimited Maths doubts download Doubtnut from - https://goo.gl/9WZjCW The value of the determinant `|[sintheta, costheta, sin2theta] , [sin(theta...