Вашему вниманию представлена уютная 1к.кв. в кирпично-монолитном доме 2009 года постройки в Красном Селе.
Расположена квартира на 4 этаже 8 этажного д...
We start the proof of Riemann mapping theorem. Firstly we show that we can find a conformal mapping that maps our simply connected domain into the unit ...
Торговая площадка питомника "ЁЛЫ-ПАЛЫ" с высоты выглядит потрясающе!
Теперь о приятном - напомним вам текущие акции:
- Скидка 20% на все туи. В акции уч...
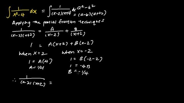
integration of 1/x^2-4 (Solution)
Integration of 1/x^2-4 (Solution) - this video shows how to perform the Integration of 1/x^2-4 (Solution)
TAGS;
inte...
This tutorial gives explanation about some problems of orthographic projections and introduction to Isometric projections. It was an online class done u...
For a complete lesson on the properties of multiplication, go to http://www.MathHelp.com - 1000+ online math lessons featuring a personal math teacher i...