Цикл лекций «Фредгольмовы операторы» профессора Института математики НАН Республики Армении Армена Грачиковича Камаляна.
Предполагается:
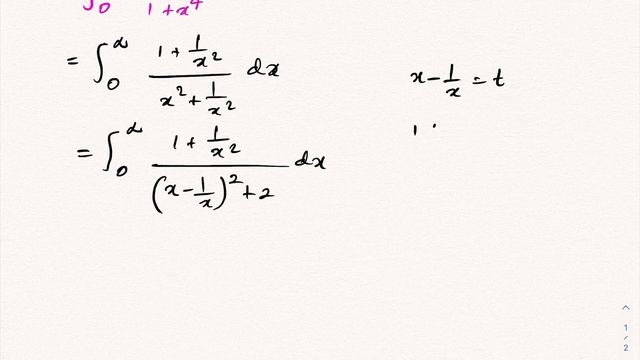
• привести свед...
В това видео ще видите доказателство на една от най-важните теореми в математическия анализ, а именно теоремата на Вайерщрас за непрекъснатите функции в...
Інста-етер 09.04.22
Вивчаємо математику разом з Оленою Мельниченко
Онлайн-курси по підготовці до #ЗНО та до #НМТ з математики шукайте на нашому сайті...
Коммуникативные навыки детей: зачем нужны умения общаться
Чтобы выстраивать социальные связи, стать полноправным членом общества, мальчишки и девчонки ...
Мы рады предложить наши услуги:
• Услуги ведущих, артистов, музыкантов, ВИА, певцов и танцоров различного жанра;
• Предоставление услуг по звуко-свето-...
03-04-2017 14:00
Каждое нововведение в сфере ЖКХ, даже самое необходимое и обусловленное, сопровождается повышением тарифов. В чем принцип тарифного...
Не СТРАШИСЬ И НЕ БОЙСЯ❗
ЗАХОДИ❗❗❗
ЗДЕСЬ НИЧЕГО СТРАШНОГО НЕТ:
1) НЕТ ЛТО;
2) НЕТ ГТО;
3) НЕТ ОБЩЕГО СЧЕТА;
4) НЕТ СЧЕТА У АДМИНА;
5) НЕТ ВОЗМОЖНОСТИ ...
Инвалиды-колясочники, обслуживающиеся в городской поликлинике №2, не всегда могут вовремя получить медуслуги бригады скорой помощи. Один из пациентов об...
Week 6 of the Kinobody Warrior Shredding Program. I forgot to mention this during the video but I dropped 1.8 pounds this week. My lowest point last wee...
The Great Algebraic Challenge: Who Will Prevail?
Prepare for an epic showdown of algebraic mastery in "The Great Algebraic Challenge: Who Will Prevail?"...
Подписывайся на канал и получай качественный контент, технические мануалы по интернет-продвижению.
Закрытая информация на канале Telegram https://t.me/...
If you are looking to install a Reverse Osmosis Water Filter System Under the Sink, this is for you.
🙌 SIGN UP FOR FREE - https://www.yoguely.com/newsl...