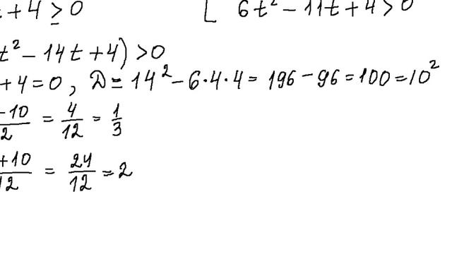
Решение логарифмических неравенств с переменным основанием традиционно вызывает затруднения у учащихся. Необходимо научиться пользоваться методом рацион...
Курс лекций: К.П. Петров "Общая Теория Управления" - Лекция №8 - Основные положения Теории - Часть 1
Более подробная информация на сайте: http://Managem...
If sin theta =(24)/(25) and 0^(@) lt theta 90^(@), then the value of sin (theta)/(2) is-
Class: 12
Subject: MATHS
Chapter: MCQ's
Board:West Bengal Board...
Кейінгі жылдары егін егіп, мал өсірген шаруалар қуаңшылық зардабын тартып келеді. Салдарынан саладағы кейбір құрылымдар ісі іркіліп жатыр. Ақтөбе өңірін...
दोस्तों इस Video में ALP & TECH STAGE -1 set-10 HELD 14.08.2018 Shift-1 , Previous Questions का Discussion किया गया हैं। जिसमें ALL TCS Questions के Ma...
Two important classical algorithms to solve the Minimum Spanning
Tree Problem is Prim's Algorithm & Kruskal's Algorithm
Kruskal's Algorithm is an impo...
Trine 4: The Nightmare Prince – продолжение одного из лучших платформеров современности, игры, совместившей в себе черты слэшера, ролевые элементы, голо...
Подробную информацию смотрите по ссылке – https://estate-spain.com/bl18123dd257-taunhaus-157-m-deia
Новостройка на западном побережье Майорки в великол...