What Are DISPATCHERS Really Doing During Layovers and Load Delays?!
_______________
With layovers, delays between loads, long waiting times and many m...
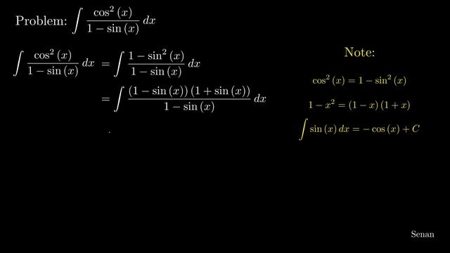
❓Solving Integral: ∫ cos² x / (1 - sin x) dx
🔍 Welcome to my channel, if it is your first time I would highly encourage you to check out my channel (l...
All in one - Royale pass : https://crackwithjack.com/royale-pass
English book : https://crackwithjack.myinstamojo.com/shop?ordering=oos,final_price
J...
Куда нести кольцо бывшего?💍
Сдай любое ненужное или сломанное золотое изделие в золотомат Goldex и получи dеньги на карту сразу😊
Золотомат безопасным ...
#нхл #русскиевнхл #малкин
Аналитика и авторское мнение о событиях в лучшей лиге мира в Telegram:
https://t.me/ovi_never_stop
https://t.me/ovi_never_st...
В случае покупки данного минуса - мой трек, который уже записан на него будет удалён с площадок.
Минусовки/сведение/мастеринг
Связь со мной тут: https:...