Бұл сабақ 11-сынып оқушылары үшін 10-сыныпты қайталау.
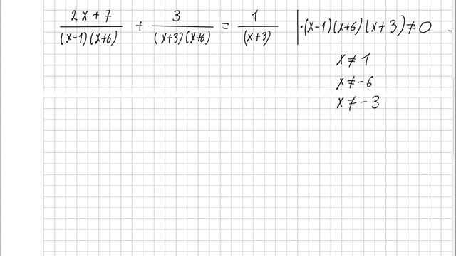
10.2.1.5. Көбейткіштерге жіктеу әдісі арқылы бір айнымалысы бар көпмүшенің түбірлерін табу;
10.2....
Check out all my links! https://linktr.ee/makingmultifamilymoney
Join one of my mentorship and coaching programs:
Multifamily Money: http://steven-nguy...
Если захотели поддержать - вам сюда: https://www.donationalerts.com/r/draks13
Стримы на ГГ: https://goodgame.ru/channel/Draks_13/
Стримы на Твич: https...
- [ ] Ventas Ricardo Moreno. dejo mi cel 📱 por si gustas mandarme WhatsApp ✉️ +52 55 3028 3480 soy de México 🇲🇽 puedes dar click aquí para que te mande ...