Do you know the difference between serif and sans serif fonts and why it is important to choose wisely?
Do you know the best font to use for a children'...
Как и у всех людей, которые что-то снимают, у нас остаются «неудачные дубли», за 5 видео их накопилось достаточно, чтобы немного поделиться со всеми! Пр...
This video can help the Non-Technical person forWindows(10) Installation.
Este video puede ayudar a la persona no técnica para la instalación de Window...
BANYAK YANG BELUM TAU,, HANYA 4 KOMPONEN SUDAH BISA BUAT ALAT CANGGIH.
kali ini kita akan membuat alat yang keren dengan memanfaatkan sensor suhu NTC 2K...
Bill Clinton, President of the United States (1993-2001). Hand-signed black-and-white photo (25x20 cm). The Emperor Nicholas II Autograph Museum Collect...
Подписаться на мой телеграмм канал:
https://t.me/kadastrcrimea
Подписаться на мой яндекс Дзен
https://zen.yandex.ru/id/5db6816498fe7900ae738277
Для св...
If you like this quiz please give us a thumbs up and we will make sure to keep them coming.
If you like to play the interactive quiz go to:
http://www....
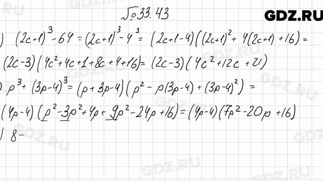
Видео решение к номеру 33.43 по алгебре за 7 класс, авторов А.Г. Мордкович
Более подробное гдз к этому заданию можно найти здесь https://gdz.ru/class-7/...
ВСЕМ ПРИВЕТ ! МОЙ ПЕРВЫЙ СТРИМ
ССЫЛКА ДЛЯ ДОНАТА https://www.donationalerts.com/r/denn_dr
ДУЭЛЬ БЕСПЛАТНО
ДУЭЛЬ БЕЗ ОЧЕРЕДИ 5 Р
ПОМЕНЯТЬ ИГРУ БЕСПЛАТ...