В данном видео рассказываю о том, почему важно лечить первичное место повреждения, и что будет, если лечить не в том месте.
В этом заключается основное...
As at the time of making this video, my father is an octogenarian, in his 80s. He was born by poor parents, and he too is poor, so growing up, I never k...
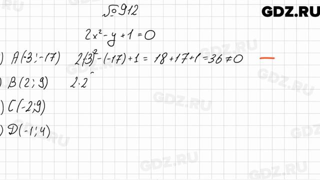
Видео решение к номеру 912 по алгебре за 7 класс, авторов А.Г. Мерзляк, В.Б. Полонский, М.С. Якир
Более подробное гдз к этому заданию можно найти здесь...
▶︎ https://clck.ru/39AeEX — Знать. Сумки, которые не потускнеют.
Только до конца марта действует промокод LOSKUTOVA на -15%
😇Подписывайтесь на меня:
🎥...
Вы хотите стать журналистом?! Собираетесь поступать на журфак?! Нужно подготовиться к творческому экзамену в ВУЗ?! Хотите научиться писать, говорить, от...