Hi friends, in this video we are explaining you touch controls of Boult Audio Airbass X50 earbuds. Hope you will like this video.
**** Please Subscr...
Paneer sandwich recipe | how to make grilled paneer sandwich recipe with step by step photo and video recipe. sandwich recipes are not native to indian ...
https://t.me/voropaiilife/555
-------------------------------------------------------------------------------------------------------
В своих видео я по...
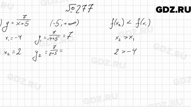
Видео решение к номеру 277 по алгебре за 9 класс, авторов А.Г. Мерзляк, В.Б. Полонский, М.С. Якир
Более подробное гдз к этому заданию можно найти здесь...
[Giveaway Ended - 31/3/19]
(As of YouTube guidelines I must have a disclaimer)
Disclaimer:
I am solely responsible for this contest.
This contest is fre...
РЕАКЦИЯ ИГОРЯ НА КЛИП - ОН НЕ БЫЛ ПРЕДАТЕЛЕМ | Among Us | feat. MiatriSs
#happylime #shadowpriestok #нарезка
------------------------------------------...
ПОДПИШИТЕСЬ НА НАШ ИНСТАГРАМ ДРУЗЬЯ👇👇👇👇👇 https://www.instagram.com/denisbunazev/?hl=ru
ДРУЗЬЯ ПОДПИШИТЕСЬ ПОЖАЛУЙСТА НА КАНАЛ НАШИХ ДРУЗЕЙ👇👇👇👇
У НИХ ...
Всем приветик !
С вами LEDIEMI!
Это моя рубрика 5X5 !Что это означает ?Это означает то , что целых 5 ДНЕЙ ПОДРЯД , Я СНИМАЮ ДЛЯ ВАС ВИДЕО ПО 5 МИНУТОК !...
Alola everyone! Mrsupersonic711 here am I'm here live! Today I am here playing Sonic Colors Ultimate for the PlayStation 4 (playing on PS5) for the firs...