пока мы не начали незабуте поставить лайк 👍🏻 и потписаться на мой канал и поставить колокольчик 🔔 чтобы не пропустить новые видео но мы начинаем приятно...
Подписывайтесь на канал, чтобы не пропустить свежие видео.
Обязательно пишите комментарии и ставьте ваши лайки/дизлайки.
Наш информационный Канал дает...
Aaj ka video sensitive data exposure ke barey main hai and uska practical bhi karke dikhaya hai. I hope you will like it 🧡
⭐Don't forget to hit the Sub...
Feb 2023 | Masjid Kg Binjai
Israk mikraj adalah antara peristiwa penting dalam Islam yang berlaku pada 27 Rejab. Dua peristiwa besar lain turut dicatat...
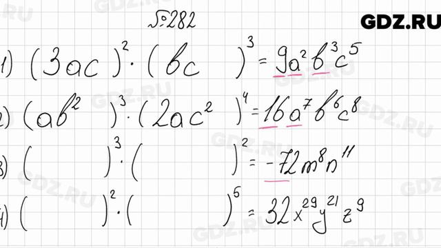
Видео решение к номеру 282 по алгебре за 7 класс, авторов А.Г. Мерзляк, В.Б. Полонский, М.С. Якир
Более подробное гдз к этому заданию можно найти здесь...
ПРЯМАЯ ССЫЛКА НА НАКРУТКУ ПОДПИСЧИКОВ ИНСТАГРАМ - https://socialbooster.me/c/instagram-followers
Я думаю что не малый процент пользователей инстаграм за...
Причина депортации Каромата Шарипова, Президента Федерации мигрантов СНГ; Председателя Общероссийского общественного движения "Таджикские трудовые мигра...
Самодисциплина и привычки эффективного человека.
Так как я бывший профессиональный спортсмен, знаю что значит самодисциплина и фокусирование это самые в...
УПРТ XD
____♥☺♥☺♥____
Я в "Вконтакте" http://vk.com/mskattylps
Я в Instagram: http://instagram.com/mskattylps
Я в twitter: https://twitter.com/MsKattyLP...
Здравствуйте, дорогие зрители!
В этом видео я прокомментировал текущую ситуацию в мировой экономики, на основе недавно опубликованных показателей PMI I...
Back so soon with another haul!! Hoping you all love this one featuring autumn/winter neutral outfit ideas from Zara 🤍 xx
Product Links
BLACK SWEATER ...