The latest update is the company will unveil this handset on May 7, Unsurprisingly, this will be done digitally, because of — you know — the global pand...
Bonus Chapter
Got bored one night. Got 23 seconds based off the end of the chapter numbers. Correct me if I'm wrong please.
Mask: Tony
Music in level...
Спасибо всем крутым скейтерам, принявшим участие @a doug's life @amskater @ChrisMcNugget @Carlos Lastra @willcortez9
Перевод и озвучание от:
https://...
Практика, которая помогает усилить желание и какие сектора в доме отвечают за исполнение желаний
Двойной эфир с Ириной Ботезату от 19.08.19
По всем воп...
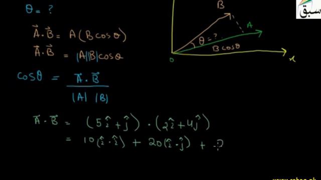
The units of the dot product will be the product of the units of the A and B vectors.
This video is about: Problem1 on Scalar or Dot product. Subscribe ...
Любимый цигун с использованием принципов "Живого Взаимодействия"
Instagram: @8rusinov
Кирилл Русинов - остеопат, реабилитолог, специалист в области пс...