Назвал так баг чисто из-за того что он случился во время игры за Джуна, это не говорит что только Джун Ли может так багать....
_______________________...
Морские свинки единственный вид домашних грызунов которые могут издавать много звуков для общения не только между собой, но и разговаривать с человеком....
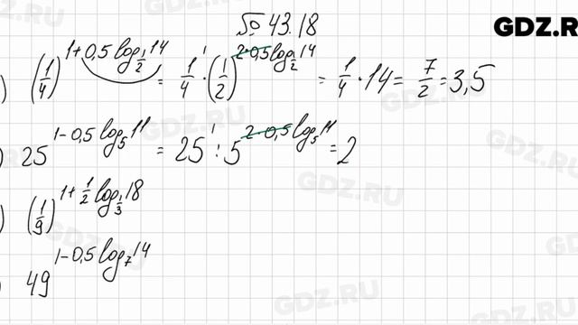
Видео решение к номеру 43.18 по алгебре за 10-11 класс, автор А.Г. Мордкович
Более подробное гдз к этому заданию можно найти здесь https://gdz.ru/class-...
Hello everyone,
In this video I will tell you about the youtubers cannot switch their account on YouTube app and youtube studio app.
watch the video t...
🧡 You Want to Learn HOW To Play Mozart - Magic Flute Queen of the Night Aria with the piano? Then Watch this Easy Piano Tutorial with Synthesia and Enjo...
Как придумать вымышленного персонажа, если нет вдохновения???
Позови друга, родных или самостоятельно поиграй в игру "Дорисовки!"
Также отлично развивае...
НАШЛО ТОГО САМОГО ПРОСТОГО ПАРНЯ ,ХОРОШЕГО,С СВОЕГО ГОРОДА КИЕВ,ПРЕПОДАВАТЕЛЯ МОРСКОГО КОЛЛЕДЖА,НА
СЕГОДНЯШНИЙ ДЕНЬ ЕМУ 30 ЛЕТ И ОНИ ВСТРЕТИЛИ ДРУГ-ДР...
#секондхенд #сток #одеждаоптом #секондхендоптом #evrotorg
👩🏻💻Купить сток и секонд-хенд оптом с доставкой по России, Казахстану и Белоруссии? Легко!=)
...
Законодательное собрание Вологодской области
Председатель ЗСО Шевцов Г.Е. представил коллективу Контрольно-счетной палаты области нового председателя КС...