Powered by Restream https://restre.am/yt
привет
донат https://www.donationalerts.com/r/legodan4ik
запасной донат + тут больше вариаций https://www.do...
Эта её небольшая вставка перед началом стрима очень хорошо показывает, насколько она хороший контент-мейкер и как она умеет удивлять
YouTube: Gawr Gura...
#вибрации #частоташумана #резонансшумана
На мечту 😍🥰 благодарю🙏
UZCARD(перевод с России только с карты МИР)
8600140214840176
https://yoomoney.ru/to/4...
Вопросы:
1. Что на тебе одето?
2. Был ли ты влюблен?
3. Бывало ли когда-нибудь ужасное расстование?
4. Твой рост.
5. Твой вес.
6. Есть ли татуировки?
7....
Простыми словами о понятии Социальное клеймо (ярлык, стигма) - обидных обозначения вас другими людьми. Главное, не применять их к себе! Представьте что...
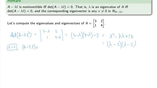
Advanced Linear Algebra, Lecture 4.1: Eigenvalues and eigenvectors
Throughout this lecture and the others in this section, we will assume that X is a v...
OWASP Top 10 - Broken Authentication on Try Hack Me | OWASP Top 10 THM Walkthrough | Decrypt3r
In this video I've explained, how you can solve Broken A...
Titel: Victoria 3
Entwickler: Paradox Development Studio
Publisher: Paradox Interactive
Victoria 3 bei Gamesplanet mit dem Rabattcode MOERPVIC kaufen 1...
на вашем экране моё видео , а значит только что ты посмотрел или смотришь моё новое видео совместно с ВИЗГЕМУ! мы очень старались потдержи нас лайками, ...