Доллар/Рубль, RTS, Сбербанк, нефть Brent
Хотите избавиться от проблем в своей торговле? Тогда вы попали по адресу!!!
http://schoolbs.ru
Скайп - sergei77...
Another kinda romantic vid LOL...I love this song so I had to make something out of it. Although it's similar to the other vids, I hope you'll like it.
...
В этом видео вы узнаете о ситуациях, при которых суд может разделить имущество супругов, которое они нажили в браке, не в равных долях.
🔔 ПОДПИШИСЬ на ...
В этом видео наглядно показано как парой ВБР играет против нас. В течении всего попадая по картонным ЛТ у 704-го вылетал стоковый дамаг, а в конце боя и...
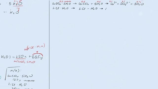
Твердую смесь медного купороса и кристаллогидрата хлорида лития (LiCl*H2O), в которой массовая доля протонов составляет 50%, растворили в 426,6 г воды. ...
From https://www.justanswer.com/ythi
JustAnswer Customer from San Antonio, TX: How do I shut off an F96 error code for a GE double wall oven
Pearl Wilso...
В этом видео я покажу тебе Skyrim Что Если Прийти к Ярлу Сиддгейру без Письма?
Придём к Ярлу Фолкрита Сиддгейру без письма от гонца и проверим, сможем л...
Реквизиты для зачисления безвозмездных перечислений в областной бюджет в целях оказания помощи гражданам в связи с крупным пожаром, произошедшим 25 март...
Get ready for this... These are some of the Best Motivational Videos of all time for Running, the Gym and Working out! 40 Minutes of the Best Running Mo...