Find out the quality of life and living expenses in Lisbon, Portugal by watching this video. Here I ask a few questions to Cristian and Giulia. You can ...
Сейчас время, когда приходят в мир новые дети и многие родители не знают как их воспитывать, хотя дети именно и просят о том, чтобы родители их воспитыв...
🎹Ноты для фортепиано или как научиться играть Лейся, песня - Где же ты была на пианино с нашими уроками!
✅Ссылка на ноты: https://note-store.ru/notes/l...
Ikut Bimbel online CoLearn mulai 95.000/bulan.
IG CoLearn: @colearn.id https://bit.ly/Instagram-CoLearn
Sekarang, yuk latihan soal ini!
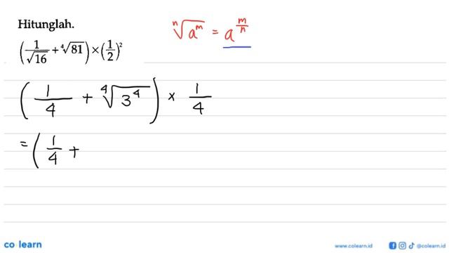
Hitunglah. (1/...
Чтобы купить/заказать подходящий Спиннер (Spinner), кликните по ссылке ►►► https://www.youtube.com/channel/UCt5r7q_ch8nB8aEMiUBNYSg/about и на открывше...
Сравнение двух моделей беговых кроссовок от Salomon и Asics с металлическими шипами. Тест обоих моделей проводился зимой 2014/15 в болотистых лесах, бли...
Economics Class 12th Objective | अर्थशास्त्र Class 12 Objective MCQ 2023 | Business Studies Class 12 Objective For All Board Exam
Education Baba App : ...