Привет Я Наталья … Я как большинство кто меня смотрит покупаем все необходимое для себя, семьи и дома на площадках AKIEXPRESS по нескольким причинам.
Н...
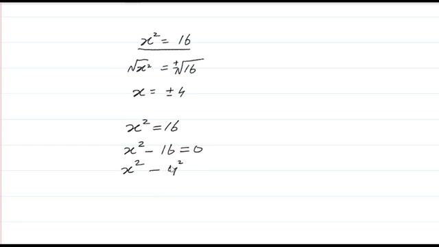
Hello and welcome to this video about the use of plus and minus in square roots! Have you ever wondered why we use plus and minus in square root express...
Новости Казахстан. После окончание вузов не смогли трудоустроиться в течение 12 месяцев 30% выпускников. А это около 20 тысяч молодых специалистов. #каз...
Финансовая пирамида bestforinvest отличается от всех подобных пирамид. Bestforinvest выплачивает проценты каждый день.
Cсылка : http://www.bestforinvest...
В ВЫПУСКЕ: Удар по свободам: партия власти в Госдуме предлагает новые ограничительные законопроекты. Связь поколений: Омский блогер Алексей Дудоладов вс...
Если Вам интересны темы ведической астрологии, духовной практики, йоги, тантры, приглашаю в свою группу вконтакте :). Здесь Вы найдете множество авторск...
🔥 БОГАТЫЙ РИЭЛТОР - Telegram сообщество для профессиональных агентов.
Переходите по ссылке и присоединяйтесь 👉 https://t.me/+RAHX5lH_H55iN2Ri
---
Не в...