Why is my ex silent? If you're going through a breakup and haven't heard from your ex, you may be obsessing about why they haven't reached out to you. I...
How to make primary router as a secondary router.
https://www.youtube.com/watch?v=CvejquQmoC0
How to check system of the computer
https://www.youtube.c...
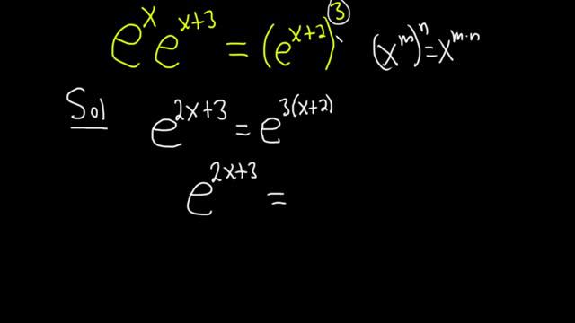
Solve the Exponential Equation e^xe^(x + 3) = (e^(x + 2))^3
If you enjoyed this video please consider liking, sharing, and subscribing.
Udemy Courses ...
Iranian state TV on Saturday reported the inauguration of a production line for a new version of an air defense missile.
The report said the missile du...
Ещё больше полезной и бесплатной информации в моём телеграм-канале: https://t.me/+iQn0rlAGXGI0MTZi
Школа Эмоционального Интеллекта и Психотерапии
Сайт...
ВНИМАНИЕ!!! +16. В данном видео много мата, шума и безсвязной речи. В очередной раз, пытаюсь выжить с мастером DeepJack, Барсучкой и МONSTROM SPB в DbD....
Ссылка на игру: https://store.steampowered.com/app/994890/Metro_Simulator/
___________________________________________________________________________...