Канал: Экология и сохранение окружающей среды 23.04.2024
Пиши мне в what's app ➡️https://whatsapp.bogachkov.dreamsochi.ru ⬅️ Вторичка в Сочи или купить квартиру в Сочи в новостройке? Квартира в новом доме в Со...
Канал: Экология и сохранение окружающей среды 23.04.2024
И всем привет ребят я снова вернулась полная сил и готовности и буду стараться выпускать видео каждый день в 16:00 по МСК. Текстура называеться sugar_pa...
Канал: Экология и сохранение окружающей среды 23.04.2024
Разработчики рассказывают, как создавались сложные сцены со смертоносной Copperhead в Batman: Arkham Origins
Вся свежая информация по этой игре здесь -...
Канал: Экология и сохранение окружающей среды 23.04.2024
Всем привет дорогие друзья надеюсь что вам понравился ролик и вы поставите лайк
Мой вк~: https://vk.com/id470720621
Моя группа~: https://vk.com/club161...
Канал: Экология и сохранение окружающей среды 23.04.2024
🔥Играть в Lineage 2 Essence с Бонусом: https://ru.4game.com/s2s/essence_zohan
🔥Играть в Lineage 2 Main с Бонусом: https://ru.4game.com/s2s/lineage2_zoh...
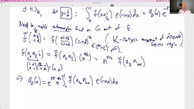
Канал: Экология и сохранение окружающей среды 23.04.2024
Follow along with the lecture notes:
http://math.rutgers.edu/~alexk/2022S572/Lecture27.pdf
Venkatesh's Subconvex Bound for Fourier Coefficients of Modu...
Канал: Экология и сохранение окружающей среды 23.04.2024
I did a little work on the sound, hope you like it. Meet my new video on the channel, I think many have been waiting for this. METAL IN PUBLIC: METALCOR...
Канал: Экология и сохранение окружающей среды 23.04.2024
**Want to own the tools I use ?? Click on the amazon link below to get my top 5 Tools I use**
Automotive Test Light- https://amzn.to/3z1Pdxa
Flexible Ba...