CATAPULTS - Getting Catapults right: Pronunciation tips in 2023
How do you pronounce 'catapults'?
Can you give me an example sentence using the word 'c...
Вау, ты и правда зашел сюда! И так о чем я, я решила нарисовать девушку похожую на Салли Фишера, но у меня наверное ничего не получилось) я и правда рис...
Привет дорогой зритель! в этой серии мы найдем уэнделла в лаборатори под сараем, а также сразимся с человеем и черной вдовой!
приятного просмотра!
00:00...
Хотите отдохнуть и ищете туры, Болгария – отличное место для отдыха. Посмотрите видео «KATERINI NESSEBR 2* Солнечный Берег обзор – отель КАТЕРИНИ НЕССЕБ...
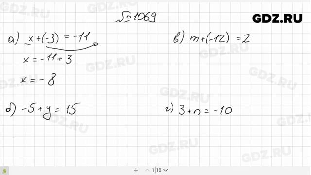
Видео решение к номеру 1069 по математике за 6 класс, авторов Н.Я. Виленкин, В.И. Жохов, А.С. Чесноков
Более подробное гдз к этому заданию можно найти...
How to - Acrylic Nails using Nail Forms Beginner Friendly Series Part 1. In this video I show how to do acrylic nails using nail forms. This is the firs...
Убавил музыку, вытащил голос.
Я лично не фанат игры и не силён в английском, но решил помочь тем, кто изучает этот звуковой файл.
Это явно женский голос...
Программирование для начинающих
ПЛЕЙЛИСТ КУРСА:
https://youtube.com/playlist?list=PLK7Dmn8DagU44N_gqpryju99BU68NtUgo
!!! В курсе НЕ рассматриваются CSS ...
*Click show more*
-------------------------------------------------------------------------------------------------------------------------------------...
Support the stream: https://streamlabs.com/Греш[НИК]1
Донат От 10 Рублей
Донат http://www.donationalerts.ru/c/tyktyk69
ДОНАТ ЗАКАЗ МУЗЫКИ http://www...