Канал: Глубокое обучение: Онлайн обучение 30.12.2023
Привет! Ребят, прошу огромного прошения за то что видео ТАК долго не выходили. Проблемы у меня были и физически и душевно и морально... В общем всё что ...
Канал: Глубокое обучение: Онлайн обучение 30.12.2023
With Resident Evil 9 up next it is time for Jill Valentine to finally come back. Also star in a new CGI movie in the future. Which is apart of my Jill w...
Канал: Глубокое обучение: Онлайн обучение 30.12.2023
Bing Image Creator tutorial
.
.
bing image creator,prompt bing image creator,membuat gambar dengan ai,membuat gambar lucu dengan bing,tutorial bing,tuto...
Канал: Глубокое обучение: Онлайн обучение 30.12.2023
Videos em 360º :
https://www.youtube.com/playlist?list=PLb3NEvqzIVQYt7pKIeKiTeA3XDJne_N-3
Ideias nos comentários são bem vindas!
Lives as 19:00 aqui n...
Канал: Глубокое обучение: Онлайн обучение 30.12.2023
В этом видео мишка фреди из игры 5 ночей с фреди
Говорит смешную фразу хихихаха
Мой телеграм канал: https://t.me/Joper1000 донат: https://www.donation...
Канал: Глубокое обучение: Онлайн обучение 30.12.2023
Ребят,сорян то что эти 2 видоса вышли в 21:08,а не в 18:00,я делаю 4 часть мини-фильма "Мой Демонёночек",у меня более мение самочувствие нормализовалось...
Канал: Глубокое обучение: Онлайн обучение 30.12.2023
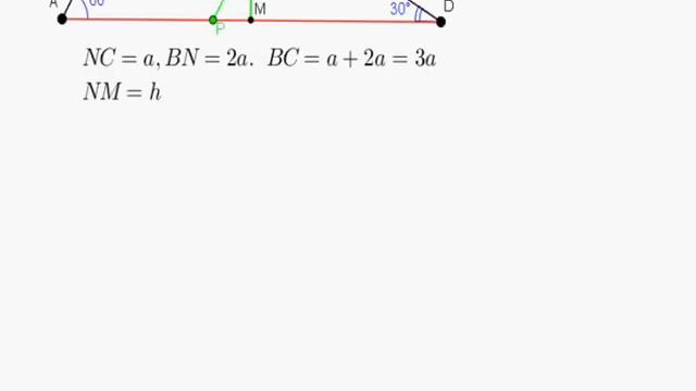
Эта же задача на Python https://youtu.be/lcWqRjMEDnk
Больше видео на моем сайте https://всерешу.рф
Хотите легко и просто понять информатику? Пишите мн...
Канал: Глубокое обучение: Онлайн обучение 30.12.2023
today, i am taking you along with me while i start my first journal ?
[open for (1) new message] ?
hello luvs,
welcome back to my channel. as you can ...
Канал: Глубокое обучение: Онлайн обучение 30.12.2023
План ПП питания для контроля веса - https://telegra.ph/Plan-pitaniya-05-14 ??
план питания на неделю, план питания на день, план питания 2, индивидуа...