SUBSCRIBE my chanel :D
Представляю Вам пилотный выпуск новой рубрики "Frag Movie". Все ошибки будут исправлены в дальнейших выпусках.
Ссылка на реплей:...
Почему важно учить произношение. Регистрируйтесь на мой бесплатный вебинар "Как заговорить как носитель" здесь:
https://iqenglish.ru/webinarsub-free?ati...
Evaluate the following intergrals (i) `int_(15)^(30) cos (4x - 3)dx` (ii) `int_0^(30) cos 5 x dx` (iii) `int_(0)^(30) cos 5 x dx` (iv) `int_(0)^(10) s...
В данном видео показан процесс литья подкалиберной пули LEE 1OZ 12 калибра
Свинец шиномонтажный
★ ★ ★ ★ ★
Зарабатывайте с покупок в китайских магазина...
06.10.2023 11:30
“Оценка качественной юридической услуги: как оценивать,
ответственность юристов, адвокатов, страхование ответственности,
российский и...
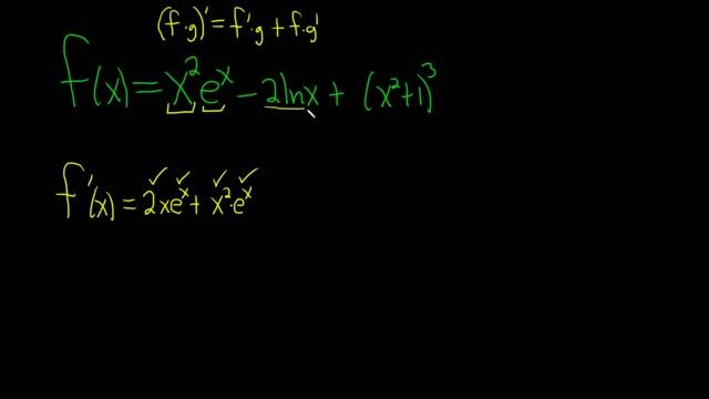
How to Find the Derivative of f(x) = x^2*e^x - 2ln(x) + (x^2 + 1)^3 using the Product and Chain Rule
If you enjoyed this video please consider liking, ...
ПОДПИШЕТЕСЬ, ПОЖАЛУЙСТА, НА КАНАЛ https://www.youtube.com/channel/UCmNQX9K12k0VjjdPenERAHA?sub_confirmation=1
Задание 16. При нагревании спирали лампы н...
Текстовые задачи начинают решать в начальной школе и решают их вплоть до окончания школы, на ОГЭ они во второй части, в базовом экзамене среди самых сло...