Мой новый микрофон FS-666 из Китая за 563,50 рублей. Очень плохо работает, можно поговорить только поднося его непосредственно ко рту.
Помощь каналу: R...
Видео решения задачи №1022 (1006) по Математике 6 класс автора Виленкин Н.Я. Если ищете ГДЗ по Математике за 6 класс по учебнику Виленкина Н.Я., то отве...
Наша бесплатная беседа:
https://vk.me/join/IGShhL_4eHToCSP0F3SIgU_Ktz_buP0ITLg=
Мы вк: https://vk.com/clublab__ege
Узнать свой уровень готовности к э...
Подписывайтесь на канал ГДЗ Математика 6 класс - https://www.youtube.com/channel/UC-dadBUZsFl__JO0EavMpEA
Плейлист: § 26. Цилиндр, конус, шар (767-783)...
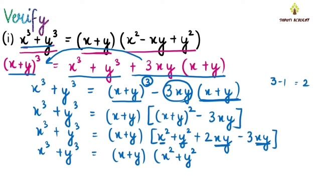
Hello Students,
In this video, I have explained how to verify
(1) x3 + y3 = (x + y) (x2-xy+y2)
(2) x3 - y3 = (x - y) (x2+xy+y2)
We hope after watchi...
Наша группа ВК: ГДЗ Математика Алгебра - https://vk.com/4da5ru
Канал на YouTube: ГДЗ Математика 5 класс - https://www.youtube.com/channel/UCccZDzo2Kiip...
Подписывайтесь на канал - https://www.youtube.com/channel/UC3qzAZZ51xvl9foham7WIMg/
Плейлист: § 38. Приближенные значения действительных чисел - Алгебра...