Канал: Решаем геометрические задачи с легкостью 11.01.2024
В нашей дате рождения заложено очень много секретов! Раскроем один из многих. Итак, рассчитаем какой же камень талисман именно у вас! Расшифровку чисел,...
Канал: Решаем геометрические задачи с легкостью 11.01.2024
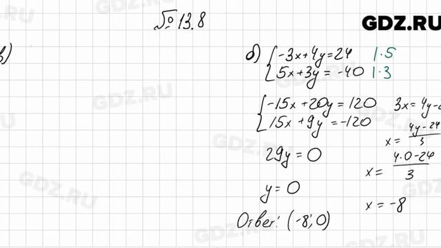
Видео решение к номеру 13.8 по алгебре за 8 класс, авторов А.Г. Мордкович
Более подробное гдз к этому заданию можно найти здесь https://gdz.ru/class-7/a...
Канал: Решаем геометрические задачи с легкостью 11.01.2024
Канал «Великая Россия»: наша цель – познакомить с прекрасным учением Ислама и показать его в правильном свете, без искажений. Ведь это послание любви и ...
Канал: Решаем геометрические задачи с легкостью 11.01.2024
Летсплей игры Nexomon Extinction с новым исправленным русификатором. Плейлист летсплея: https://www.youtube.com/playlist?list=PL_cKTOORd7MR33tM-2D7OXwxE...
Канал: Решаем геометрические задачи с легкостью 11.01.2024
Наши лекции: https://boosty.to/chokechoke.ru
ПОДДЕРЖКА КАНАЛА: Сбер. 4276260050887321 (STANISLAV MIKHAILOV)
Номер телефона +79039070202 , привязан к к...
Канал: Решаем геометрические задачи с легкостью 11.01.2024
Подписывайтесь на мой второй канал по вкусняшкам "Рецепты домашних блюд" - https://www.youtube.com/channel/UC4PSfznWdyoA2XPSMd81J2Q
Охотники начали акт...
Канал: Решаем геометрические задачи с легкостью 11.01.2024
Запетаята в просто изречение при еднородни части. Семинар за езикова култура, проведен от Фондация "Комунитас" на 28 април 2012 г. Лектор е Николай Паск...