Канал: Геометрия: решения с простыми и понятными объяснениями 11.01.2024
Видео решение к номеру 15.12 по алгебре за 8 класс, авторов А.Г. Мордкович
Более подробное гдз к этому заданию можно найти здесь https://gdz.ru/class-7/...
Канал: Геометрия: решения с простыми и понятными объяснениями 11.01.2024
After making an emergency call, we need to type * 2767 * 2878 or * 2767 * 3855 or * 2767 * 3588 and the phone will unlock automatically
How To Unloc...
Канал: Геометрия: решения с простыми и понятными объяснениями 11.01.2024
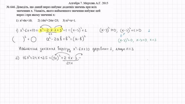
7 кл. Алгебра.
Доведіть, що даний вираз набуває додатніх значень при всіх значеннях х. Укажіть якого найменшого значення набуває цей вираз і при якому...
Канал: Геометрия: решения с простыми и понятными объяснениями 11.01.2024
In this video kids will learn Number Name 81 to 90. Learning Number name will be easy and enjoyable with help of music and animation.
Is video ki mada...
Канал: Геометрия: решения с простыми и понятными объяснениями 11.01.2024
In order to determine which is bigger, 1/4 or 1/3, we can visually compare the two fractions. If we divide a circle into four pieces, and another into ...
Канал: Геометрия: решения с простыми и понятными объяснениями 11.01.2024
Математика, информатика и программирование.
Занятия по информатике и программированию https://progi.online/
Занятия по математике http://matem.online/
З...