Технология дробления влажного зерна — лучшая альтернатива традиционному плющению. За час мельница-дробилка может измельчить несколько тонн зерна.
Око...
25 Секретов в Minecraft PE 1.1.1
Ставьте лайки и подписывайтесь на канал
●Моя Страница в ВК: https://vk.cc/69mPgV
●Наша Группа в ВК: https://vk.cc/69mP...
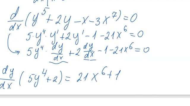
Тема: Совместная работа. МАКСИМАЛЬНО подробный и понятный разбор 11 задания ЕГЭ по профильной математике.
Автор: Завьялов Артем
Для общения и обмена з...
Донат на стрим: https://www.donationalerts.com/r/kameoler
Прямой донат на Яндекс деньги (Юмани): 41001585147128
===================
Расписание стримов:...
Видео решение к номеру 153 по алгебре за 7 класс, авторов Колягин Ю.М., Ткачёва М.В., Фёдорова Н.Е., Шабунин М.И.
Более подробное гдз к этому заданию мо...
ПЕРЕЙТИ В МАГАЗИН С НОЖАМИ - https://goo.gl/qeeMjH
Доброкачественный кизлярский ножик — более, нежели элементарно кухонный инвентарь. Он полностью имее...
Найди решение задачи, выделяя три этапа математического моделирования:
«В первом доме на 57 квартир больше, чем во втором. Найди количество квартир в к...
Другие решения смотри тут: https://urokitv.net/
Urokitv.net это школьные учебники и решебники с 1-го по 11-й класс школы. Ждем ваших предложений и пож...