? Learn how to determine the differentiability of a function. A function is said to be differentiable if the derivative exists at each point in its doma...
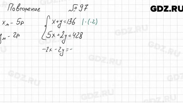
Видео решение к номеру 97 по алгебре за 7 класс, авторов А.Г. Мордкович
Более подробное гдз к этому заданию можно найти здесь https://gdz.ru/class-7/alg...
Русский язык 11 класс
http://lobach-school.ru/ наш сайт
lobach.info@inbox.ru наша почта
https://vk.com/lobach_dzer наша группа в контакте
https://ok.ru/...
Подписывайтесь на канал ГДЗ Математика 6 класс - https://www.youtube.com/channel/UC-dadBUZsFl__JO0EavMpEA
Плейлист: 38. Свойства действий с рациональны...
Этот узел для оснастки дроп шот мне показался самым простым и достаточно надёжным. Он очень быстро вяжется,
не сползает и не снижает прочность лески на...
Отмечайте это видео?.
Делитесь с друзьями?.
Пишите комментарии?.
----------------------
В июле планируется взять кредит в банке на сумму 40млн рублей на...
The audio recording is from my undergraduate recital at WSU spring of 2002.
I wrote this composition as part of my music education studies and had a ...
Переделал оправку (резцедержку) китайского отрезного резца под нужды школьного токарного станка ТВ-6, чтобы испытать в деле. Режет он или нет, смотрите ...
Другие решения смотри тут: https://urokitv.net/30-matematika-5-klass-merzlyak-a-g-polonskiy-v-b-yakir-m-s
Urokitv.net это школьные учебники и решебник...