Канал: Математика: искусство построений 11.01.2024
Футаж, сцены из фильмов, мультфильмов, звуковые эффекты всё это вы сможете найти на моём канале https://www.youtube.com/channel/UC5wXseWYSyAQvvn6-IZa1ow...
Канал: Математика: искусство построений 11.01.2024
Функции, работа с функциями, виды графиков и преобразования графиков функций. Показательная функция
Файл с заданиями https://disk.yandex.ru/i/qdg8CbW_c...
Канал: Математика: искусство построений 11.01.2024
Наша группа ВК: ГДЗ Математика Алгебра - https://vk.com/4da5ru
Канал на YouTube: ГДЗ Математика 5 класс - https://www.youtube.com/channel/UCccZDzo2Kiip...
Канал: Математика: искусство построений 11.01.2024
Видео-разбор задачи №22 по ЕГЭ №7 Графика из сборника К. Ю. Полякова.
Проверь свои знания по этой теме! Пиши ЕГЭ №7 ГРАФИКА в сообщения группы https://...
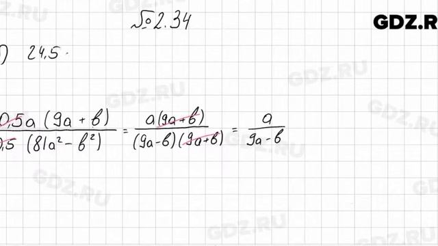
Канал: Математика: искусство построений 11.01.2024
Видео решение к номеру 2.34 по алгебре за 8 класс, авторов Мордкович А.Г., Александрова Л.А., Тульчинская Е.Е., Мишустина Т.Н.
Более подробное гдз к это...
Канал: Математика: искусство построений 11.01.2024
Для вчителів
Дата конференції: 25 серпня 2020 р.
Інші конференції: https://www.youtube.com/playlist?list=PLJipHuf9jrHh5yNpfNTq4ztzPbTzOPsAU
НПП «Інтел...
Канал: Математика: искусство построений 11.01.2024
#охотаназайца #охота2022 #заяц-русак
hunting for a hare, rabbit ,
друзья очередная охота на зайца-русака 2022 в новый год первый заяц
ОХОТА НА ЗАЙЦА 20...
Канал: Математика: искусство построений 11.01.2024
Кулер для процессора Cooler Master купить в интернет-магазине Мвидео в Москве, Спб — Кулеры для процессоров, ссылка на товар https://fas.st/iy163
Компью...
Канал: Математика: искусство построений 11.01.2024
Physics || Physic || भौतिक || All S I UNIT OF PHYSICAL QUANTITIES || S I Unit |si unit |unit |RPK86
Part 3
????????????
https://youtu.be/FNwGet_7WIk
भ...