Канал: Простая геометрия: учимся вместе 11.01.2024
Sup guys and welcome back to another video!
------------------------------------------------------------------------------------------------------------...
Канал: Простая геометрия: учимся вместе 11.01.2024
Другие решения смотри тут: https://urokitv.net/66-gdz-po-matematike-4-klass-dorofeev-g-v-chast-1-2
Urokitv.net это школьные учебники и решебники с 1-го...
Канал: Простая геометрия: учимся вместе 11.01.2024
22 квадратных метра в центре Томска никак не дают покоя их владельцам. Квартира на проспекте Ленина находится в долевой собственности. Одна сторона хоче...
Канал: Простая геометрия: учимся вместе 11.01.2024
Распаковка и обзор новых custom минифигурок! Смотрим клонов!
В этом видео покажу распаковку посылки и обзор новых custom минифигурок клонов.
Приятного п...
Канал: Простая геометрия: учимся вместе 11.01.2024
?Компания Smabat хорошо известна своими наушниками - вкладышами, но совсем недавно они решили опробовать свои силы и на поприще IEM-наушников. Что у них...
Канал: Простая геометрия: учимся вместе 11.01.2024
Terrassement du chemin d'accès jusqu'à la maison
? Découvrez la construction de notre maison en 6min : https://youtu.be/8iL8mlTTzHc
- Implantation du c...
Канал: Простая геометрия: учимся вместе 11.01.2024
Más de 100 divisiones RESUELTAS AQUÍ: https://youtube.com/playlist?list=PLi2cQ8S4O7eIWxvYb0aOG4oEQ6e2q8ltM en mi otro canal de youtube.
Enlace a mi segu...
Канал: Простая геометрия: учимся вместе 11.01.2024
Подробное описание основных узлов, описание креплений и использованных агрегатов
Присоединяйтесь к нашему чату, вопросы по технике и просто общение
http...
Канал: Простая геометрия: учимся вместе 11.01.2024
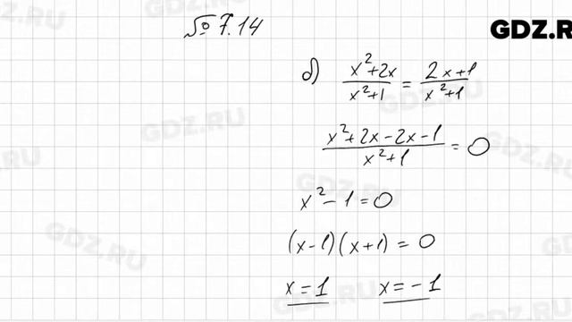
Видео решение к номеру 7.14 по алгебре за 8 класс, авторов Мордкович А.Г., Александрова Л.А., Тульчинская Е.Е., Мишустина Т.Н.
Более подробное гдз к это...
Канал: Простая геометрия: учимся вместе 11.01.2024
This is a fun example where we reorder decimals from smallest to largest. You're looking for the place value that is the most significant, and then work...