Ragdoll Turbo Dismounting Mod Apk
#ragdollturbodismount
#ragdollturbodismountmodapk
I hope you like it and subscribe to my channel: https://www.youtube...
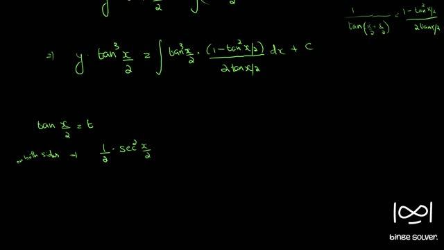
Topic : Ordinary Differential Equation (ODE)
Subtopic : Equation of First Order and First Degree
Linear Differential Equation
Q236 Solve sinx(dy/dx) +...
This video explains a super quick way to Compare Fractions.
To learn more about Quant- Arithmetic, enrol in our full course now: https://bit.ly/QuantA...
Другие решения смотри тут: https://urokitv.net/10-Reshebnik_GDZ_Matematika_2_klass_Moro/
Urokitv.net это школьные учебники и решебники с 1-го по 11-й к...
Подписывайтесь на канал - https://www.youtube.com/channel/UC3qzAZZ51xvl9foham7WIMg/
Плейлист: § 18. Функция у = k/x, ее свойства и график. - Алгебра 8 к...
Видео решения задачи №1333 (1317) по Математике 6 класс автора Виленкин Н.Я. Если ищете ГДЗ по Математике за 6 класс по учебнику Виленкина Н.Я., то отве...
NPS 6 - 150 mm Piping Design Data, Piping Parts Dimension & Weight. Piping,Welding,Non Destructive Examination-NDT
Common Piping Angles and their Soluti...
Ever Wondered How to Solve Any Maths Equations Within Seconds? Watch this video till the end and learn how.
Photomath reads and solves mathematical pro...
Преподаватель — Дима Трушин
Курс "Линейная алгебра и геометрия", бакалаврская программа "Прикладная математика и информатика", НИУ ВШЭ
Все видео курса...