Период колебаний пружинного маятника равен 0,5с. Каким станет период свободных колебаний этого маятника, если массу груза маятника увеличить в 2 раза, а...
Валентин Гафт. Эфир на радио Эхо Москвы. Читает "Посвящение Высоцкому". Москва, 29 сентября 2010 года.
http://www.echo.msk.ru/programs/kazino/706091-echo/
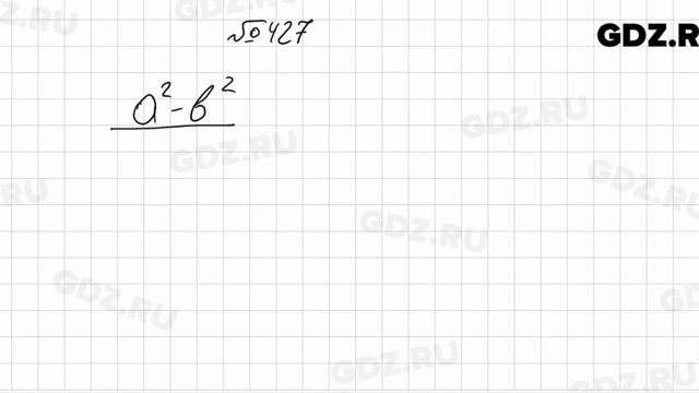
Видео решение к номеру 427 по алгебре за 7 класс, авторов Колягин Ю.М., Ткачёва М.В., Фёдорова Н.Е., Шабунин М.И.
Более подробное гдз к этому заданию мо...
ПЕРЕЙТИ В МАГАЗИН С НОЖАМИ - https://goo.gl/qeeMjH
Доброкачественный кизлярский ножик — более, нежели элементарно кухонный инвентарь. Он полностью имее...
В этом видео будет истония разблокировки магнитолы для Saab 9-3. Клиент покатался по киевским СТО, и везде отказали. Немного изучив мат.часть согласился...
In this video we will learn how to find HCF of 84 and 90 by prime facorisation method.
How to find prime factors pls watch this video?
https://youtu.b...