Подготовка к муниципальному этапу ВсОШ по физике. Занятие для 7 класса.
На занятии рассматриваются наиболее характерные для 7 класса задачи. Посетив за...
КОПЕКУ ЗА ТРУДЫ КИДАТЬ СЮДА https://www.donationalerts.com/r/yarikandersson
Продажа утиных и гусиных чучел пр-во Россия от 220 рублей
Пустые гильзы 12 ...
Сегодня покажем как сделать антистресс тремя разными способами, своими руками и не нужно покупать. Такие антистресс можно сделать практически бесплатно ...
Подписывайтесь на канал ГДЗ Математика 6 класс - https://www.youtube.com/channel/UC-dadBUZsFl__JO0EavMpEA
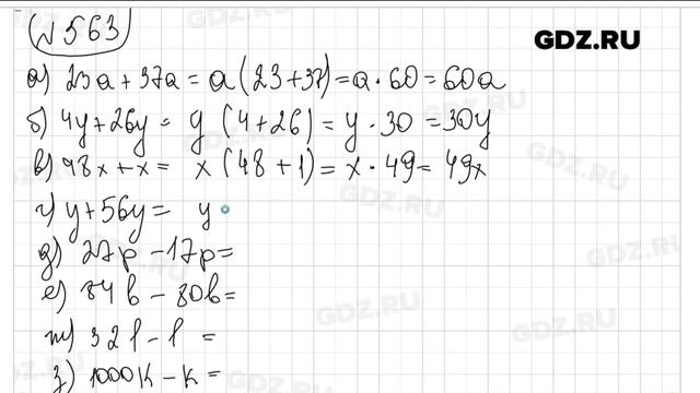
Плейлист: 39. Распределительное свойство умно...
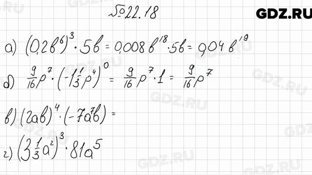
Видео решение к номеру 22.18 по алгебре за 7 класс, авторов А.Г. Мордкович
Более подробное гдз к этому заданию можно найти здесь https://gdz.ru/class-7/...
Другие решения смотри тут: https://urokitv.net/
Urokitv.net это школьные учебники и решебники с 1-го по 11-й класс школы. Ждем ваших предложений и пож...
Другие решения смотри тут: https://urokitv.net/30-matematika-5-klass-merzlyak-a-g-polonskiy-v-b-yakir-m-s
Urokitv.net это школьные учебники и решебник...