Канал: Геометрия для школьных искусников: творческие задания и проекты 11.01.2024
Видео решение к номеру 236 по математике за 4 класс часть 2, авторов М.И. Моро, М.А. Бантова, Г.В. Бельтюкова
Более подробное гдз к этому заданию можно ...
Канал: Геометрия для школьных искусников: творческие задания и проекты 11.01.2024
Здравствуйте! Меня зовут Лидий Григорьевич, и я хочу предложить к прочтению мою работу по тригонометрии для старшей школы.
Ссылка на работу: https://dr...
Канал: Геометрия для школьных искусников: творческие задания и проекты 11.01.2024
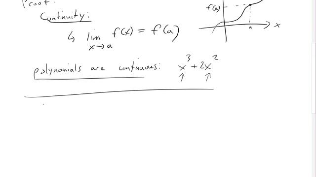
In this video I go over a simple corollary theorem which is a direct result of the continuity theorem which I went over in my earlier video (video link ...
Канал: Геометрия для школьных искусников: творческие задания и проекты 11.01.2024
Все задачи ОГЭ по типам: http://lomonosovclub.com/ru/study_lists/255#!/
Группа ВК: https://vk.com/lomonosovclub_com
Тренажер ОГЭ: http://oge.lomonosovcl...
Канал: Геометрия для школьных искусников: творческие задания и проекты 11.01.2024
Планеры и словари для изучающих английский язык
http://your-planner.ru/lend
Используем генератор случайных чисел
http://randstuff.ru/number/ для быст...
Канал: Геометрия для школьных искусников: творческие задания и проекты 11.01.2024
Новогодний Заяц
Отличная охота на зайца с гончими.
что ты еще не видел тут- https://ok.ru/group/58776259985618
мой твитер https://twitter.com/19Redwhit...
Канал: Геометрия для школьных искусников: творческие задания и проекты 11.01.2024
Подписывайтесь на канал ГДЗ Математика 5 класс - https://www.youtube.com/channel/UCccZDzo2Kiip4Aeg2XMZvZw/
Плейлист: 13. Деление с остатком. № 529 - 55...