Канал: Геометрия для школьного успеха: уроки, тренировки, достижения 11.01.2024
Онлайн сервис от компании Virartech - Моделировщик песни AlexArLite. Прямо в браузере (лучше FireFox) подобрать аккорды, задать структуру (вст., куплет,...
Канал: Геометрия для школьного успеха: уроки, тренировки, достижения 11.01.2024
Если вы ищете надёжную машину, а у Вас есть +-3к баксов обязательно посмотрите это видео.
В этом топе я собрал максимально надёжные и не дорогие в экспл...
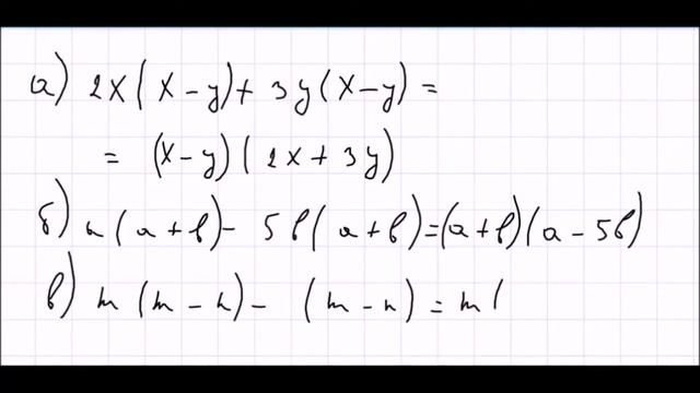
Канал: Геометрия для школьного успеха: уроки, тренировки, достижения 11.01.2024
integrate cos x^0 dx
Integration of cos x^0 dx.
integrate cos x power 0
integrate sin x power 0
integrate d dx cosx 0
Evaluate: integration sin(x^0)dx
#...
Канал: Геометрия для школьного успеха: уроки, тренировки, достижения 11.01.2024
Говорят "Меньше знаешь - крепче спишь". Ещё говорят "Век живи - век учись". Какая же из пословиц верна? Может быть есть какая-то золотая середина между ...
Канал: Геометрия для школьного успеха: уроки, тренировки, достижения 11.01.2024
Мой резервный Телеграм-канал — https://t.me/yellow_school.
Эту задачу абсолютно точно решали и бабушки с дедушками, и родители, и дети, но вновь и внов...
Канал: Геометрия для школьного успеха: уроки, тренировки, достижения 11.01.2024
Наша группа ВК: ГДЗ Математика Алгебра - https://vk.com/4da5ru
Канал на YouTube: ГДЗ Математика 5 класс - https://www.youtube.com/channel/UCccZDzo2Kiip...
Канал: Геометрия для школьного успеха: уроки, тренировки, достижения 11.01.2024
Josh Jones (BSP Artist) performs Tambourinov by Jb Leclere (BSP Artist). Tambourinov is a short tambourine etude influenced by the style and techniques...
Канал: Геометрия для школьного успеха: уроки, тренировки, достижения 11.01.2024
Больше видео на моем сайте https://xn--b1aga7bdp8a.xn--p1ai/
Хотите легко и просто понять информатику? Пишите мне в директ https://www.instagram.com/ks...
Канал: Геометрия для школьного успеха: уроки, тренировки, достижения 11.01.2024
Редкие кадры дятлов в дикой природе. Дятлы шумные животные, способные ударять по дереву 20-25 раз в секунду, что превышает работу пулеметов в два раза.
Канал: Геометрия для школьного успеха: уроки, тренировки, достижения 11.01.2024
Happy new week Home Owners!
Drum Rolls Please!
The hand over date for ACE PARK 1 ESTATE is officially set for 24th April 2021.
Another 28 new home own...
Канал: Геометрия для школьного успеха: уроки, тренировки, достижения 11.01.2024
Присоединяйтесь к в видео, где мы расскажем о минимальном наборе для начинающего охотника.
Как выбрать подходящую одежду, чтобы было комфортно и безопа...