Determine the molarity for each of the following solutions:
10.5 kg of Na2SO4·10H2O in 18.60 L of solution
OpenStax™ is a registered trademark, which w...
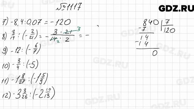
Видео решение к номеру 1117 по математике за 6 класс, авторов А.Г. Мерзляк, В.Б. Полонский, М.С. Якир
Более подробное гдз к этому заданию можно найти з...
Посмотреть цену и прочие вводные можно по ссылке:
https://premiumgun.ru/katalog/?q=aselkon
Там же ружье можно заказать. Доставка действует по всей России
Другие решения смотри тут: https://urokitv.net/57-gdz-po-algebre-7-klass-merzlyak-a-g
Urokitv.net это школьные учебники и решебники с 1-го по 11-й кла...
TI BA II Plus on Amazon: https://amzn.to/2M4S2TO
The TI BA II Plus can internally store up to 13 digits. However, the calculator can only display up to...
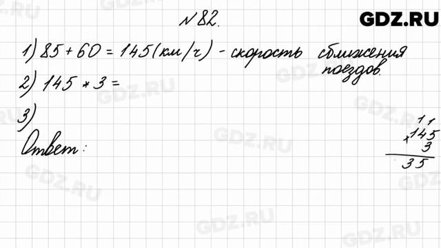
Видео решение к номеру 82 по математике за 4 класс часть 2, авторов М.И. Моро, М.А. Бантова, Г.В. Бельтюкова
Более подробное гдз к этому заданию можно н...
Видео решение к номеру 306 по алгебре за 7 класс, авторов Колягин Ю.М., Ткачёва М.В., Фёдорова Н.Е., Шабунин М.И.
Более подробное гдз к этому заданию мо...
Первые шаги в классе Shotgun standart IPSC. На базе этого ружья буду строить инструмент для спорта. Ружьё представляет широкое поле для тюнинга. Так же ...