Learn How to Subtract Two Polynomials with x's and y's and Find the Degree
If you enjoyed this video please consider liking, sharing, and subscribing.
...
Купить смартфон XIAOMI Mi A1 в проверенных магазинах:
http://ali.pub/28s363 - Aliexpress
http://ali.pub/26882v - Gearbest
Крутой чехол для XIAOMI Mi A1:...
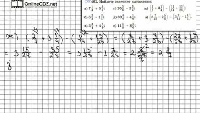
Другие решения смотри тут: https://urokitv.net/34-matematika-6-klass-vilenkin-zhohov-chesnokov
Urokitv.net это школьные учебники и решебники с 1-го по ...
Видео решение к номеру 653 по математике за 5 класс, авторов Н.Я. Виленкин, В.И. Жохов, А.С. Чесноков, С.И. Шварцбурд.
Более подробное гдз к этому задан...
Оружейный канал Илья МСК: http://www.youtube.com/channel/UCaKXolIzT2XgBLVtovqLXbA
Мой канал подключен к партнёрской сети: http://my.tapemedia.org/apply?...
тел для заказов +380952950844 Олег
=============================================================================
Канал моего друга по металокопу .Прос...
Видео решение к номеру 490 по математике за 6 класс, авторов А.Г. Мерзляк, В.Б. Полонский, М.С. Якир
Более подробное гдз к этому заданию можно найти зд...