Складная инвалидная коляска FS-955 LQ http://www.met.ru/goods/2542/ представлена в двух вариантах ширины: 41 см и 46 см. Откидные подлокотники и поднож...
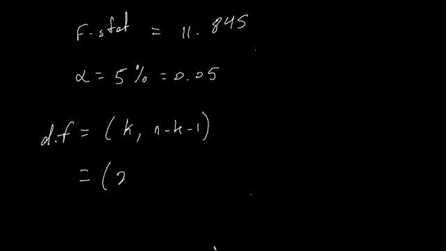
This video seeks to help students get a better understanding of regression analysis and be able to perform a F-Test on a regression equation to determin...
How to remove password from your odt document (openoffice, libreoffice)
No need for additional software on your computer
Very fast service. Payment only...
With this Chillout music playlist, you'll stay focused on your work, prevent distractions, and stay relaxed. Use it for social media marketing, web desi...
Продолжая серию уроков по программе MicroCap с ее помощью подробно исследуется двухкаскадный усилитель, рассматриваются варианты его использования, пояс...
Unix & Linux: in Excel Range copy, How can I copy without changing the active sheet
Helpful? Please support me on Patreon: https://www.patreon.com/roe...
^^^ ^^^ ^^^
More YouTube videos:
https://youtu.be/FI42PpU0phc : What is Finance
https://youtu.be/OievZoGmrDw : Calculating Expected Return of a Stock in...
how to print excel sheet in one page
how to print excel sheet with table
how to print excel sheet with rows and columns
how to print excel sheet in a4 s...
Сегодня я расскажу Вам о функциях в мобильном приложении Lexilize Flashcards.
0:44 Система интервального повторения
01:19 Описание пяти игр
05:13 Перем...
Hi,
Welcome you to our YouTube channel Information Arjan.
About this video-
In this video you will Learn about Basic excel function Format Painter. As...
Microsoft Office Excel 2010 free Educational Tutorial online in Urdu and Hindi language all video Training help by http://pakedu.net (Pakistan Educatio...