Канал: Эксель для Работы с Базой Клиентов 06.12.2023
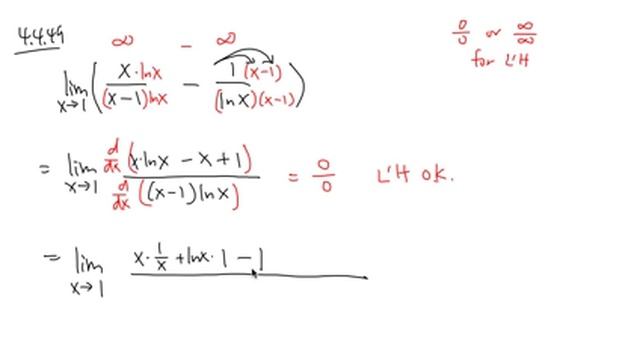
Limit of x*tan(1/x) as x goes to infinity, L'Hospital's Rule,
More calculus resources: https://www.blackpenredpen.com/calc1
If you enjoy my videos, t...
Канал: Эксель для Работы с Базой Клиентов 06.12.2023
#EVE #eveonline Расскажу свою позицию по фарму, о том, как делаю деньги в игре и как не выгореть.
Полезные ссылки:
https://evemarketer.com/
https://eve...
Канал: Эксель для Работы с Базой Клиентов 06.12.2023
Сначала определите цель максимум и цель минимум. Далее, составляйте скрипт по технологии продаж:
▫️ Установление контакта - где должно быть программиро...
Канал: Эксель для Работы с Базой Клиентов 06.12.2023
Здравствуйте, я руководитель компании "BAU CUSTOM", Александр Белоус. Мы делаем качественный ремонт квартир и домов в Москве:
☎ +7(967)268-80-98 Алекс...
Канал: Эксель для Работы с Базой Клиентов 06.12.2023
An overview of the features and capabilities of Inference for R and combining the power of R scripting with Microsoft Office. This screencast focuses on...
Канал: Эксель для Работы с Базой Клиентов 06.12.2023
Обзор качества внутренних деталей масляного фильтра для ДВС Micro T504. Данный фильтр устанавливается на автомобиль Suzuki Hustler и другие автомобили.
Канал: Эксель для Работы с Базой Клиентов 06.12.2023
Можно ли рассчитать себестоимость промышленной продукции по фактическим затратам?
А контролировать соблюдение технологии производства?
Конечно можно, да...
Канал: Эксель для Работы с Базой Клиентов 06.12.2023
In this class, Neha Rani Ma'am will talk about “living world class 11 ”
Our goal in this living world class 11 is to introduce some of the important c...
Канал: Эксель для Работы с Базой Клиентов 06.12.2023
Well this computer was that I was fixing a for somebody, when I got it seems to run very slow when I got it from the owner they wanted wanted me to wip...
Канал: Эксель для Работы с Базой Клиентов 06.12.2023
find table created date oracle
How to find out when a particular table was created in Oracle
How to Check Oracle Table Creation Date
Find recently creat...