Senior Consultant Andrew Beggs describes how the Excel Libname Engine can be used to output data from SAS to Excel. It covers the syntax used and demon...
You can use the PivotTable and PivotChart Wizard to consolidate multiple ranges. In the wizard, you can choose between using no page fields, a single pa...
Оставь видео - отзыв! Получи упаковку энергетика в подарок! www.econcar.ru
Наша группа Вконтакте: http://vk.com/econcar
Посмотреть все видео-отзывы: h...
You can use the "Control Source" property of a text box in Microsoft Access to automatically calculate and display the sum of the values in two or more ...
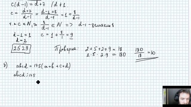
Решение 19 задания Билет 9 из ЕГЭ по математике от ФИПИ 2018 г.
а) Приведите пример четырехзначного числа, произведение цифр которого в 10 раз больше с...
Check out my Instruments on #Amazon! https://www.amazon.com/shop/keringedge (paid link)
Please #support us on #patreon https://www.patreon.com/keringed...
In this video I'll show you how to turn off the keyboard shortcut for sticky keys in Windows 11.
Timestamps:
Introduction: 0:00
Steps to Turn Off Keybo...
Расширение функционала работы с фрагментами в Базис мебельщик. Использование 2-х TotalCommander на большом экране или нескольких мониторах.
► Предыдущ...
? Welcome, Friends, to the enlightening video series "Advance Excel For Visually Impaired"! ?
Are you ready to embark on a transformative journey throu...
ОФИСМЕТРИКА! Эффективная программа учета рабочего времени НОВИНКА! http://vk.cc/4oLFP9
Эффективная программа учёта рабочего времени сотрудников, собира...