My internet has been acting up today.. will I fall in battle?
watch me on twitch plz: https://www.twitch.tv/paulfromsmite
Smite Grandmasters Duel - Me...
by Holger Levsen
by Chris Lamb
At: DebConf18
https://debconf18.debconf.org/talks/80-reproducible-buster-and-beyond/
The goal of this talk is to give t...
A former student from SE&M(Software Engineering and Management) talks about his experiences after graduating from the program. His name is Nicolae Palad...
** Diff to previous video: new kernel in core **
Used ISO: archlinux-2021.01.01-x86_64.iso
Summary:
[00:00] Booting from ISO
[01:16] Preparing
[02:21]...
Installing and trying out LLaVA, which is basically like chat gpt but with vision, where we can provide it an image, and ask it questions about the imag...
ControlNet 1.1 for Stable diffusion is out. Let's look at the various face preprocessors and models.
ControlNet 1.1 Tutorial and install guide: https:...
A Telegram desktop app made for Windows 10 Unigram is a well-designed Telegram client available for free on Windows 10, Windows 10 Mobile, Xbox One, and...
android app development tutorial for beginners Part 27
Ludo Dice Adding Logo and Images
You Can Follow me at Zealplex On This Social Media Link Below ...
Learn how to effortlessly push your custom NLP models to the Hugging Face Hub in this step-by-step YouTube tutorial. Discover the power of sharing and d...
_______________
- Đăng ký kênh #NgamRadio tại đường link: https://bit.ly/2DzS06w
- Liên hệ và góp ý với Ngẫm Radio qua hòm thư: ngamradioad@gmail.com
- ...
✅ Uma das maiores dificuldades no tratamento da Artrose é a falta de conhecimento e informação. Para te auxiliar nisso, eu acabo de lançar o "Manual da ...
Share about IT and Security
---------------------------
Discord: https://discord.gg/9hQUVVN3kp
If my video contains your copyright content, please tell...
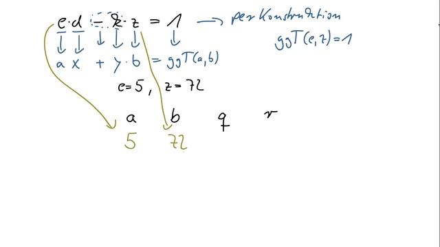
Dieses Video zeigt die Anwendung des erweiterten Euklidischen Algorithmus für RSA. Ein "Praxisbeispiel" steht dabei im Vordergrund, auf die Theorie wird...
Raspberry Pi 4. Raspbian 95 Retro Windows look with emulators including DOSBOX
Link to the setup & tutorial on the PI LAB channel
https://youtu.be/NyaN...
#ai #trending #aitools
Website link ? https://themetavoice.xyz/
AI Male to Female Voice Changer
Description:
The AI Male to Female Voice Changer is ...