Продолжаем изучать язык программирования Python вместе с хендбуками от Яндекса: https://academy.yandex.ru/handbook/python. Сегодня разбираем тему: Вложе...
Семиклассники, всем привет! Что вы должны запомнить?
1.Квадрат суммы двух выражений равен сумме квадратов этих выражений плюс удвоенное произведение пе...
Примерные задачи, которые могут быть в задании №1 в ЕГЭ.
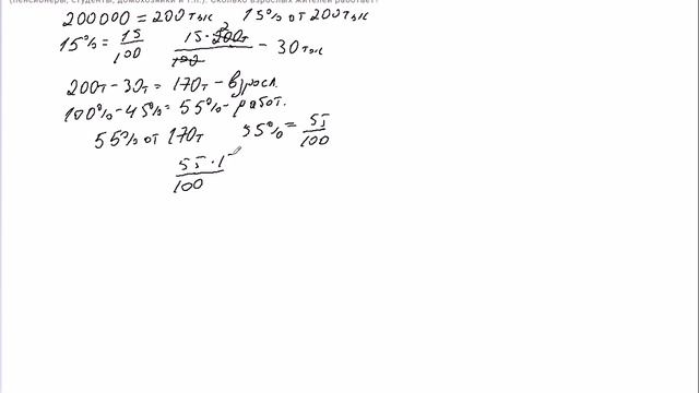
Задачи на проценты, деление с остатком, округление.
Процент от числа.
Страница ВКонтакте https...
Другие решения смотри тут: https://urokitv.net/
Urokitv.net это школьные учебники и решебники с 1-го по 11-й класс школы. Ждем ваших предложений и пож...
Наша группа ВК: ГДЗ Математика Алгебра - https://vk.com/4da5ru
Канал на YouTube: ГДЗ Математика 2 класс - https://www.youtube.com/channel/UCTz2bQEN_tlI...
Другие решения смотри тут: https://urokitv.net/
Urokitv.net это школьные учебники и решебники с 1-го по 11-й класс школы. Ждем ваших предложений и пож...
Реализация стандарта 2-го поколения при обучении математике по системе учебников "Начальная школа XXI века" и новым предметным линям учебников. Издатель...